Главная >> Алгебра 7 класс. Макарычев. ГДЗ

§ 6. Линейная функция

Задание функции несколькими формулами (окончание)

340. Из бака ёмкостью 20 л, заполненного водой (рис. 50), через открытый кран равномерно вытекает вода со скоростью 2л в минуту. Через кран может вытечь 0,9 всего объёма воды в баке, так как кран расположен выше дна бака. Объём воды V (в литрах) в баке зависит от времени х (в минутах), когда кран открыт. Задайте зависимость V от х аналитически, если известно, что кран был открыт в течение 12 мин.

341. Постройте график функции:

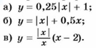
342. Постройте график функции:

343. Функция задана двумя формулами:

Задайте эту функцию одной фор мулой, используя знак модуля.

344. На рисунке 51 изображён гра фи к функции, область он ределе ния которой есть множество зна чений х, таких, что -2 ≤ x ≤ 6 Задайте эту функцию аналити чески.

345. Изменение температуры Т (в градусах Цельсия) воды в баке описано с помощью формул:

Найдите значение Т при t - 10; 20; 30; 45; 60; 90. Какой физический смысл имеет рассматриваемый процесс, когда 0 ≤ t < 20? когда 20 ≤ t ≤ 30? когда 30 < t ≤ 90?

346. Пешеход, отправившийся из дома на прогулку, оказался через t ч на расстоянии а км от дома. Зависимость s от t задана тремя формулами:

Найдите расстояние s при t, равном

347. На рисунке 52 изображён график движения автомобиля из пункта A в пункт В. Задайте эту функцию аналитически. С какой скоростью двигался автомобиль до остановки? С какой скоростью двигался автомобиль после остановки?

<<< К началу      Решенния >>>

 

 

???????@Mail.ru