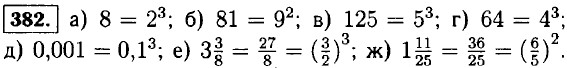
Главная >> Домашние работы к учебнику Макарычева. Алгебра 7 класс

Решенния упражнений

Определение степени с натуральным показателем

374. а) 0,93; е) у12; б) (-6)4; ж) (-x)5 ; з) (а - b)2; г) 525; и) (ху)5; д) с7.

375. а) Основание степени 3,5, показатель степен 3,54 и 4; 3,5 • 3,5 • 3,5 • 3,5.

б) Основание степени =0,1, показатель степени 3; (=0,1)3 = (-0,1) • (-0,1) • (-0,1).

в) Основание степени —100, показатель степени 4; (-100)4 = (-100) • (-100) • (-100) • (-100).

г) Основание степени — а, показатель степени 6; (-а)6 = (—а) • (-а) • (-а) • (-а) • (-а) • (-а).

д) Основание степени показатель степени 5;

377. а) 252 = 625; б) 84 = 4096; в) 73 = 343; г) 75 = 16807; д) (-0,9)3 = -0,729; е) (-2,4)2 = 5,76;

378. а) 4,153 = 71,473375; б) (-0,98)5 = -0,9039207968; в) 1,426 = 8,198418170944; г) 2,083 : 1,56 = 8,998912 : 1,56 ≈ 5,7685333; д) 1,674 • 8,3 = 7,77796321 • 8,3 - 64,557094643.

379. а) 8,494 = 5195,540816; б) (-1,062)3 = -1,197770328; в) 2,735 • 27,4 = 151,63981126 × 27,4 = 4154,9308285; г) (1,39 + 7,083)3 = 8,4733 = 608,29131982.

383. а) 712 > 0; б) (-25)3 = -253 < 0 — так как степень не чётная; в) (-5,9)3 = -5,92 так как степень не чётная, (-5,9)2 = 5,92 — так как степень чётная, -5,93 < 5,92, значит (-5,9)3 < (-5,9)2; г) (-2,3)12 = 2,312 — так как степень чётная, (-8,6)19 = -8,619 — так как степень не чётная, 2,312 > -8,619, значит (-2,3)12 > (-8,6)19.

384. а) 7 • 52 = 7 • 25 = 175; б) (7 • 5)2 = 352 = 1225; в) (-0,4)3 = -0,064; г) -0,43 = -0,064; д) -3 • 25 = -3 • 32 = -96; е) -62 • (-12) = 36 • 12 = 432.

385. а) 342 - 175 = 1156 - 175 = 981; б) 605 + 782 = 6084 + 605 = 6689; в) 422 • 9 = 1764 • 9 = 15876; г) 182 : 27 = 324 : 27 = 12; д) 752 + 252 = 5625 + 625 = 6250; е) 592 - 362 = 3481 - 1296 = 2185.

387. а) 72 + 33 = 49 + 27 = 76; б) 62 + 82 = 36 + 64 = 100; в) (6 + 8)2 = 142 = 192; г) 102 - 32 = 100 - 9 = 91; д) (10 - 3)2 = 72 = 49; е) 24 - 32 = 16 - 9 = 7; ж) 11 - 34 = 1 1- 81 = -70; з) (6 - 8)5 = (-2)5 = -32; и) 43 - 22 = 64 - 4 = 60.

<<< К началу   Решенния (окончание) >>>

 

 

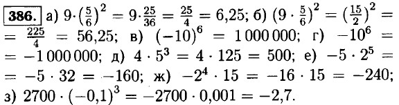
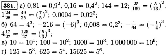
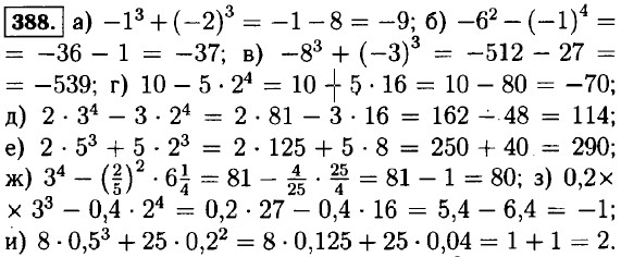
???????@Mail.ru