Главная >> Алгебра 7 класс. Макарычев. ГДЗ

§ 1. Выражения

Выражения с переменными (окончание)

34. В сплаве олова и свинца массой 20 кг содержалось х кг олова. Каким стало процентное содержание олова в сплаве после добавления в него 2 кг олова?

35. Длина прямоугольника а см, ширина fb см. Что означает выражение: a) ab; б) 2а + 2b; в) а + b; г) 2а?

36. Тетрадь стоит х р., а карандаш стоит у р. Что означает выражение: а) X + у; б) 3x + у; в) 2х + 3у;

37. Прочитайте, пользуясь терминами «сумма», «разность», «произведение» и «частное», выражение:

38. Запишите в виде выражения:

    а) сумму чисел b и с;

    б) разность чисел а и m;

    в) квадрат числа х;

    г) куб числа у;

    д) сумму числа х и произведения чисел а и b;

    е) разность числа m и частного чисел х и у;

    ж) произведение суммы чисел а и b и числа с;

    з) произведение числа а и суммы чисел х и у.

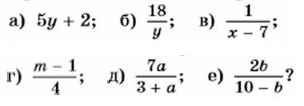
39. При каких значениях переменной имеет смысл выражение:

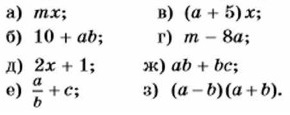
40. Какое из данных выражений имеет смысл при любых значениях а?

41. Составьте формулу числа:

    а) кратного 5; б) кратного 10; в) кратного 101.

42.Напишите формулу числа, кратного 7. Найдите но этой формуле два трёхзначных числа, кратных 7.

43. (Для работы в парах.) Докажите, что всякое простое число, начиная с 5, увеличенное или уменьшенное на 1, делится на 6.

    1) Проверьте утверждение на примерах. Одному учащемуся рекомендуем взять простые числа из третьего десятка, другому — из седьмого десятка.

    2) Обсудите друг с другом, из чего следует справедливость указанного свойства.

    3) Проведите доказательство.

Упражнения для повторения

44. Найдите число, если известно, что:

а) 3% этого числа равны 1,8;

б) 85% этого числа равны 17;

в) 130% этого числа равны 3,9;

г) 6,2% этого числа равны 9,3.

45. После того как из бидона отлили 30% молока, в нём осталось 14 л. Сколько литров молока было в бидоне первоначально?

46. Перевыполнив план на 15%, завод выпустил за месяц 230 станков. Сколько станков должен был выпустить за месяц завод по плану?

<<< К началу      Решенния >>>

 

 

???????@Mail.ru