Главная >> Алгебра 7 класс. Макарычев. ГДЗ

Дополнительные упражнения к главе 3

К параграфу 8

553. Какова степень одночлена:

а) 3х3y7;

б) -10аb2с3;

в) а9b9;

г) -xyz;

д) -8x0;

е) 2,4?

554. Представьте выражение в виде одночлена стандартного вида и укажите его степень:

а) 5ab • 0,7bс • 40ас;

в) -а3b • 3а2b4;

г) 0,6х3р • (-0,5хy3).

555. Составьте все возможные одночлены стандартного вида с коэффициентом 5, содержащие переменные х и р, такие, что степень каждого одночлена равна:

    а) трём; б) четырём.

536. Представьте выражение в виде произведения двух одночленов стандартного вида, один из которых равен 20х4у:

а) 100x5y3;

б) -30х4y5;

в) -4х16у;

г) х10у2;

д) 5х8у;

е) -х4у2.

557. Представьте данный одночлен в виде произведения двух каких-нибудь одночленов стандартного вида:

    а) -8а5с3; б) -b6y9; в) 60х10y15.

558. Преобразуйте выражение в тождественно равный одночлен стандартного вида:

а) (-10abx12)2;

б) (-0,2х4у)4;

в) (-3ху2а3)3;

г) (-0,5ab2с3)4.

559. Представьте произведение одночленов в виде степени некоторого одночлена:

а) 27а2b5 • 3а10b3;

б) -64а8x11 • (-0,25а2х9);

в) 0,01b5с3 • (-0,15с6);

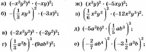
560. Упростите выражение:

561. Представьте выражение в виде произведения числа 3 и квадрата некоторого выражения:

    а) 3m4n2; б) 12x6y4z2;

562. На рисунке 66 построены графики функций у = х, у = х2, у = x3, где х ≥ 0. Пользуясь графиком, сравните:

а) 0,23 и 0,232;

0,23 и 0,233:

0,232 и 0,233;

б) 1,47 и 1,472;

1,47 и 1,473;

1,472 и 1,473.

563. а) Известно» что точка Р(-4; b) принадлежит графику функции, заданной формулой у = х2. Найдите значение b. Принадлежит ли графику згой функции точка Q(4; b)?

б) Известно, что точка А (-4; а) принадлежит графику функции, заданной формулой у = x3. Найдите значение а. Принадлежит ли графику этой функции точка В(-4; -а)?

564. Точка А (а; b) принадлежит графику функции:

    а) у = х2; б) у = х3.

Принадлежат ли этому графику точки В (-а; b), С (а; -5), D(-a; -5)?

565. Расположите в порядке возрастания числа а, а2 и а3, если:

а) 0 < а < 1;

б) а > 1;

в) -1 < а < 0;

г) а < -1.

566. Решите графически уравнение:

а) х2 = 2 - X;

б) х2 = 8;

в) х3 = 6;

г) х3 = -х + 4.

Решенния >>>

 

 

???????@Mail.ru