Главная >> Алгебра 7 класс. Макарычев. ГДЗ

§ 10. Произведение одночлена и многочлена

Умножение одночлена на многочлен (окончание)

633. При каком значении переменной:

    а) значение выражения 2(3 - 5с) на 1 меньше значения выражения 4(1 - с);

    б) значение выражения -3(2x + 1) на 20 больше значения выражения 8x + 5;

    в) значение выражения 5x + 7 в 3 раза меньше значения выражения 61 - 10x;

    г) значение выражения 8 - у в 2 раза больше значения выражения 7 + y?

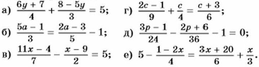
634. Решите уравнение:

635. Найдите корень уравнения:

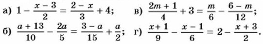
636. Решите уравнение:

637. Найдите корень уравнения:

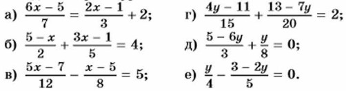
638. Решите уравнение:

639. Периметр треугольника 44 см. Одна из его сторон на 4 см меньше другой и в 2 раза больше третьей стороны. Найдите стороны треугольника.

640. Фирма арендует три помещения общей площадью 166 м2. Площадь одного из них в полтора раза больше площади другого и на 6 м2 меньше площади третьего. Найдите площадь каждого помещения.

641. Старинная задача. Трое выиграли некоторую сумму денег. На долю первого пришлась этой суммы, на долю второго — а на долю третьего — 17 флоринов. Как велик весь выигрыш?

642. нервом сарае было сложено сена в 3 раза больше, чем во втором. После того как из первого сарая взяли 2 т, а во второй добавили 2 т сена, во втором сарае оказалось того, что осталось в первом сарае. Сколько тонн сена было в каждом сарае?

643. Скашивая ежедневно по 60 га вместо 50 га, бригада сумела скосить луг на один день быстрее, чем планировалось. Какова площадь луга?

644. Увеличив среднюю скорость с 250 до 300 м/мин, спортсменка стала пробегать дистанцию на 1 мин быстрее. Какова длина дистанции?

645. От турбазы до привала туристы шли со скоростью 4,5 км/ч, а возвращались на турбазу со скоростью 4 км/ч, затратив на обратный путь на 15 мин больше. На каком расстоянии от турбазы был сделан привал?

646. Из пункта А выехал велосипедист. Одновременно вслед за ним из пункта В, отстоящего от пункта А на расстоянии 60 км, выехал мотоциклист. Велосипедист ехал со скоростью 12 км/ч, а мотоциклист — со скоростью 30 км/ч. На каком расстоянии от пункта А мотоциклист догонит велосипедиста?

647. Из пункта А вышла грузовая машина со скоростью 60 км/ч. Через 2 ч вслед за ней из пункта А вышла легковая машина со скоростью 90 км/ч. На каком расстоянии от пункта А легковая машина догонит грузовую?

648. В 190 г водного раствора соли добавили 10 г соли. В результате концентрация раствора повысилась на 4,5%. Сколько соли было в растворе первоначально?

649. В сплав олова и меди массой 16 кг добавили 2 кг олова. После этого содержание олова в сплаве повысилось на 5%. Сколько олова было в сплаве первоначально?

Упражнения для повторения

650. Найдите координаты точки пересечения графиков линейных функций:

    а) у = 5х + 29 и у = -3х -11; б) у = 1,2х и у = 1,8х + 9,3.

651. В каких координатных четвертях расположен график функции:

а) у = -28х;

б) у = -28х + 4;

в) у = 0,05x;

г) у = 0,05х - 2,5?

652. Решите графически уравнение х2 = 6 - х.

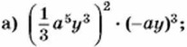
653. Упростите выражение:

    б) -0,1a4b7 • (-30a2b2)2.

<<< К началу      Решенния >>>

 

 

???????@Mail.ru