Главная >> Алгебра 7 класс. Макарычев. ГДЗ

§ 10. Произведение одночлена и многочлена

Умножение одночлена на многочлен

Умножим одночлен 9n3 на многочлен 7n2 - 3n + 4.

Для этого составим их произведение и преобразуем его, используя распределительное свойство умножения. Умножая одночлен на каждый член многочлена и складывая результаты, получим

    9n3(7n2 - 3n + 4) = 9n3 • 7n2 - 9n3 • 3n + 9л3 • 4 = 63n5 - 27n4 + 36n3.

Произведение одночлена 9n3 и многочлена 7n2 - 3n + 4 мы представили в виде многочлена 63n5 - 27n4 + 36n3.

Вообще произведение одночлена и многочлена всегда можно представить в виде многочлена. При умножении одночлена на многочлен пользуются правилом:

чтобы умножить одночлен на многочлен, нужно умножить этот одночлен на каждый член многочлена и полученные произведения сложить.

Пример 1. Умножим одночлен -3а2 на многочлен 4а3 - а + 1.

Воспользуемся правилом умножения одночлена на многочлен:

    -3а2(4а3 - а + 1) = -3а2 • 4а3 - 3а2 • (-а) - 3а2 • 1 = -12а5 + 3а3 - 3а2.

Заметим, что запись можно вести короче, не выписывая промежуточные результаты:

    -3а2(4а3 - а + 1) = -12а5 + 3а3 - 3а2.

Пример 2. Упростим выражение 3x2 - 2x(x + 8).

    2 - 2х(х + 8) = 3x2 - 2х2 - 16x = х2 - 16x.

Умножение одночлена на многочлен часто применяется при решении уравнений.

Пример 3. Решим уравнение 8 - 5x(x - 7) = 1 - 5x2.

Имеем

    8 - 5x(x - 7) = 1 - 5x2;

    8 - 5x2 + 35x = 1 - 5x2;

    -5x2 + 35x + 5x2 =1 - 8;

    35x = -7;

    x = -0,2.

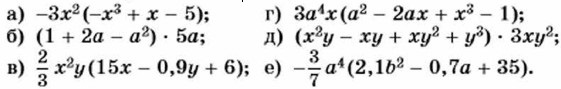
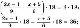
Пример 4. Решим уравнение

Умножим обе части уравнения на наименьшее общее кратное знаменателей дробей, т. е. на число 1В:

    2(2x - 1) - 3(x + 5) = 36;

    4x - 2 - 3x - 15 = 36;

    x = 53.

Упражнения

614. Выполните умножение:

а) 2x(x2 - 7x - 3);

б) -4b2(5b2 - 3b - 2);

в) (3а3 - а2 + а)(-5а3);

г) (у2 - 2,4y + 6) • 1,5y;

д) -0,5x2(-2x2 - 3x + 4);

е) (-3у2 + 0,6.у)(-1,5y3).

615. Преобразуйте произведение в многочлен:

а) 3ab(a2 - 2ab + b2);

б) -x2y/(x2y2 - x2 - y2);

в) 2,5а2b(4а2 - 2аb + 0,2b2);

г) (-2аx2 + 3аx - 2) (-а2x2);

д) (6,3x3y - 3у2 - 0,7x) • 10x2y2;

е) -1,4p2q6(5p3q - 1,5pq2 - 2q3).

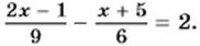
616. Представьте в виде многочлена:

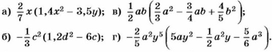
617. Выполните умножение:

Продолжение >>>

 

 

???????@Mail.ru