Главная >> Домашние работы к учебнику Макарычева. Алгебра 7 класс

Решенния задач

Сравнение значений выражений

47. а) 2,06 • 3,05 = 6,283; 21,28 : 3,5 = 6,08; 2,06 х 3,05 > 21,28 : 3,5;

б) 97,2 : 2,4 = 40,5; 62 - 21,6 = 40,4; 97,2 : 2,4 > 62 -21,6.

48. — деление числа на равносильно умножению числа на б) 9 : 0,6 > 9 • 0,6; в) 2,1 - 5,8 < 2,1 - 1,7; г) 6,13 - 7,57 < -6,13 + 7,57.

50. а) 0,7 • 0,8 • 0,9 = 0,504, 0,7 + 0,8 - 0,9 = 0,6; 0,7 0,8 -0,9 < 0,7+ 0,8-0,9;

51. а) а = 3,8; 9,5 - 3,8 = 5,7; 0,5 • 3,8 - 1,9; 9,5 - а > 0, 5а.

а = 0; 9,5 - 0 = 9,5; 0,5 • 0 = 0; 9,5 - а > 0,5а.

а = 5; 9.5 - 5 = 4,5; 9,5 • 5 = 47,5; 9,5 - а < 0,5а.

б) с = 1,6; 3 -1,6 = 1,4; 4 • 1,6-5 = 1,4; 3 - с = 4с - 5.

с = -3; 3 + 3 = 6; 4 • (-3) - 5 = -17; 3 - с > 4с - 5.

с = -6; 3 + 6 = 9; 4 • (-6) - 5 = -29; 3 - с > 4с - 5.

52. а) 8 > -8; 0 = 0; -3 < 3;

б) 5 < 500; 0 = 0; -5 > -500.

53. а) m = -1; 5m - 0,8 = -5 - 0,8 = -5,8; 0,8m - 5 = -0.8 - 5 = -5,8; 5m - 0,8 = 0,8m - 5;

б) а = 4,6; 6 = 0,23; аb = 4,6 • 0.23 = 1,058; ab < а : b.

54. 2x + 5 < 3x: при х = 4,2, 2 • 4,2 + 5 = 13,4 3 • 4,2 = 12.6 — неравенство не верно; при х = 5, 2 • 5 + 5 = 15. 3 • 5 = 15 — неравенство не верно; при х = 6,5, 2 • 6,5 + 5 = 18. 3 • 6,5 = 19,5 — неравенство верно.

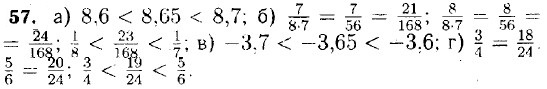
55. а) 8,14 больше 8,1, но меньше 8,6; б) 9,865 больше 9, но меньше 10; в) -839 больше -900, но меньше -800; г) -38,7 больше -40, но меньше -30; д) 1,7 больше но меньше е) больше 2,24, но меньше 2,43.

56. а) 8 < 13 < 15; б) 4,1 < 4,18 < 4,2; в) 63 < 63,5 < 64; г) -11 < -8,1 < -7; д) 1,8 < а < 2,8; е) а < х < b.

<<< К началу      Решенния (окончание) >>>

 

 

???????@Mail.ru