Главная >> Алгебра 7 класс. Макарычев. ГДЗ

Дополнительные упражнения к главе 4

К параграфу 9

734. Найдутся ли такие целые значения х, при которых значение многочлена:

    а) 2х2 + 6х + 3 окажется чётным числом;

    б) х2 + х + 2 окажется нечётным числом?

735. Расположите члены многочлена 3аx2 - 6а3х + 8а2 - х3:

    а) по возрастающим степеням переменной х;

    б) по убывающим степеням переменной а.

736. Представьте в виде многочлена:

    а) (-2x2 + х + 1) - (х2 - х + 7) - (4х2 + 2х + 8);

    б) (3а2 - а + 2) + (-3а2 + 3а - 1) - (а2 - 1);

    в) 2а - 3b + с - (4а + 7b + с + 3);

    г) 2ху - у2 + (у2 - ху) - (х2 + ху).

737. Упростите выражение:

    а) (1 - х + 4x3 - 8x3) + (2x3 + x2 - 6х - 3) - (5x3 + 8x2);

    б) (0,5а - 0,6b + 5,5) - (-0,5а + 0,45) + (1,3b - 4,5).

738. Докажите, что выражение А + В С тождественно равно выражению С - В - А, если А = 2х - 1, В = 3х + 1 и С = 5х.

739. Какой многочлен нужно вычесть ив многочлена у2 - 5у + 1, чтобы разность была тождественно равна:

    а) 0; б) 5; в) y2; г) 4y2 - y + 7?

740. Докажите, что при любом значении х разность многочленов

принимает положительное значение.

741. Докажите, что при любом значении а сумма многочленов

принимает отрицательное значение.

742. Запись означает число, в котором а сотен, b десятков и с единиц. Это число можно представить в виде многочлена

    = 100а + 10b + с.

Например, 845 = 100 • 8 + 10 • 4 + 5.

Представьте в виде многочлена число:

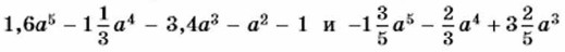
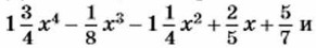
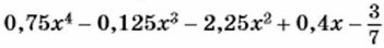
743. Представьте в виде многочлена и упростите получившуюся сумму или разность:

744. Докажите, что:

    а) сумма чисел кратна сумме а и b;

    б) разность чисел кратна 9.

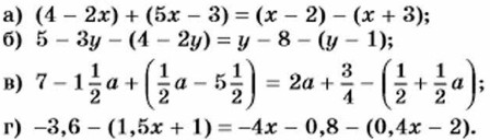
745. Решите уравнение:

746. Найдите четыре числа, пропорциональные числам 2, 4, 5 и 6, если разность между суммой двух последних и суммой двух первых чисел равна 4,8.

747. Если к задуманному числу приписать справа нуль и результат вычесть из числа 143, то получится утроенное задуманное число. Какое число было задумано?

748. Если к данному числу приписать справа цифру 9 и к полученному числу прибавить удвоенное данное число, то сумма будет равна 633. Найдите данное число.

749. К трёхзначному числу слева приписали цифру 5 и ив полученного четырёхзначного числа вычли 3032. Получилась разность, которая больше трёхзначного числа в 9 раз. Найдите это трёхзначное число.

750. Трёхзначное число оканчивается цифрой 7. Если эту цифру переставить на первое место, то число увеличится на 324. Найдите это трёхзначное число.

Решенния >>>

 

 

???????@Mail.ru