Главная >> Домашние работы к учебнику Макарычева. Алгебра 7 класс

Решенния упражнений

Возведение в квадрат и в куб суммы и разности двух выражений

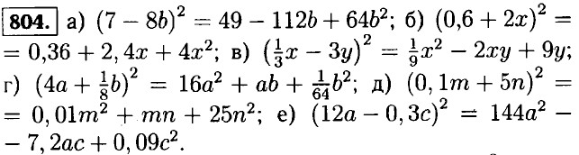
799. а) (х + у)2 - х2 + 2ху + у2; б) (p - q)2 = p2 - 2pq + у2; в) (b + 3)2 = b2 + 6b + 9; г) (10 - с)2 = 100 - 20с + с2; д) (у - 9)2 = у2 - 18у + 81; е) (9 - у)2 = 81 - 18у + у2; ж) (а + 12)2 = а2 + 24а + 144; з) (15 - х)2 = 225 - 30х + х2; и) (b - 0,5)2 = b2 - b + 0,25; к) (0,3 - m)2 = 0,09 - 0,6m + m2.

800. а) (m + n)2 = m2 + 2mn + n2; б) (с - d)2 - с2 - 2cd + d2; в) (х + 9)2 = x2 + 18x + 81; г) (8 - а)2 = 64 - 16а + а2; д) (а - 25)2 = а2 - 50а + 625; е) (40 + b)2 = 1600 + 80 + b2; ж) (0,2 - х)2 = 0,04 - 0,4x + x2; з) (k - 0,5)2 = k2 - k + 0,25.

801. Площадь серого квадрата равна сумме площадей всей фигуры и оранжевого квадрата без площади двух прямоугольников со сторонами а и b.

802. n2 + (n + 2) + (n + 9) = n2 + n2 + 4n + 4 + n2 + 18n + 81 = 3n2 + 22n + 85, (n - 1)2 + (n + 5)2 + (n + 7)2 + 10 = n2 - 2n + 1 + n2 + 10n + 25 + n2 + 14n + 49 + 10 - 3n2 + 22n + 85;

805. а) (-x + 5)2 = x2 - 10x + 25; б) (-z - 2)2 = z2 + 4z + 4; в) (-n + 4)2 = n2 - 8n + 16; г) (-m - 10)2 = m2 + 20m + 100.

806. а) (x + у)2 = (у + x)2 = (-x - у)2; б) (x - у)2 = (у - х)2 = (-у + x)2 = (-x + у)2.

807. а) (а - b)2 = а2 - 2ab + b2 = b2 - 2ab + а2 = (b - а)2; б) (-а - b)2 = (-а)2 + 2 • (-а)(-b) + (-b)2 = а2 + 2ab + b2 - (а + b)2.

810. а) (100 + 1)2 = 10000 + 200 + 1 = 10201; б) (100 - 1)2 = 10000 - 200 + 1 = 9801; в) 612 = (60 + 1)2 = 3600 + 120 + 1 = 3721; г) 1992 = (200 - 1)2 = 40000 - 400 + 1 = 39601; д) 9992 = (1000 - 1)2 = 1000000 - 2000 + 1 = 998001; е) 7022 = (700 + 2)2 = 490000 + 2800 + 4 = 492804; ж) 9,92 = (10 - 0,1)2 = 100 - 2 + 0,01 = 98,01; з) 10,22 = (10 + 0,2)2 = 100 + 4 + 0,04 = 104,04.

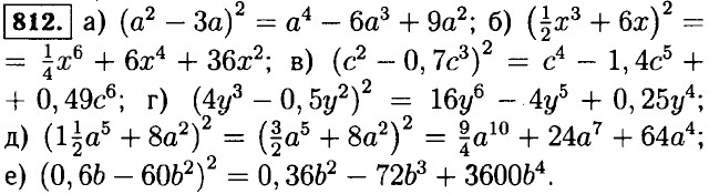
811. a) (x2 - 5)2 = (x2)2 - 10x2 + 25 = x4 - 10x2 + 25; 6) (7 - y3)2 = 49 - 14у3 + у6; в) (2a + b4)2 = 4a2 + 4ab4 + b8; г) (-3p + q3)2 = 9p2 - 6pq3 + q6.

813. а) (а2 - 2b)2 = а4 - 4а2b + 4b2; б) (x3 + 3у4)2 = x6 + 6x3у4 + 9у8; в) (7а6 + 12а)2 = 49а12 + 168а7 + 144а2; г) (15x - x3)2 = 225x2 - 30x4 + x6.

814. а) * = а; б) * = a; в) * = 10; г) * = 6а2; д) * = 0,4x3; е) * = 15аb.

815. a) (12a - 1)2 - 1 = 144а2 - 24а +1 - 1 = 144а2 - 24а; б) (2а + 6b)2 - 24аb = 4а2 + 24аb + 36b2 - 24аb = 4а2 + 36b2; в) 121 - (11 - 9x)2 = 121 - 121 + 198x - 81x2 = 198x - 81x2; г) а2b2 - (аb - 7)2 = а2b2 - а2b2 + 14аb - 49 = 14аb - 49; д) b2 + 49 - (b - 7)22 = b2 + 49 - b2 + 14b - 49 = 146; е) а4 - 81 - (а2 + 9)2 = а4 - 81 - а4 - 18а2 - 81 = -18а2 - 162.

816. а) 18а + (а - 9)2 = 18а + а2 - 18а + 81 = а2 + 81; б) (5x - 1)2 - 25x2 = 25x2 - 10x +1 - 25x2 = -10x + 1; в) 4x2 - (2x - 3)2 = 4x2 - 4x2 + 12x - 9 = 12x - 9; г) (а + 2b)2 - 4b2 = а2 + 4аb + 4b2 - 4b2 = а2 + 4аb.

<<< К началу   Решенния (окончание) >>>

 

 

???????@Mail.ru