Главная >> Алгебра 7 класс. Макарычев. ГДЗ

§ 14. Преобразование целых выражений

Возведение двучлена в степень

Вам известны формулы квадрата суммы и квадрата разности, куба суммы и куба разности. Так как разность а - b можно рассматривать как сумму а + (-b), то в каждом случае можно говорить не о двух формулах, а об одной — квадрате двучлена и кубе двучлена:

    (а + b)2 = а2 + 2аb + b2,

    (а + b)3 = а3 + 3а2b + 3ab2 + b3.

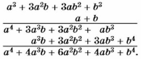
Нетрудно получить формулы для возведения двучлена в четвёртую, пятую и т. д. степень. Получить их можно последовательно одну за другой, умножая многочлен, записанный в правой части предшествующей формулы, на а + b. Например:

    (а + b)4 = (а3 + 3а2b + 3ab2 + b3)(a + b).

Умножение выполним «в столбик»:

Итак, (а + b)4 = а4 + 4а3b + 6b2 + 4аb3 + b4.

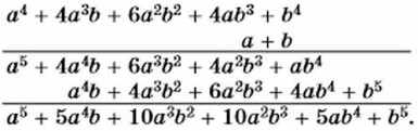
Умножая правую часть этого равенства на а + b, получим формулу пятой степени двучлена:

Значит,

    (а + b)5 = а5 + 5а4b + 10a3b2 + 10a2b3 + 5ab4 + b5.

Для того чтобы заметить закономерность в формуле n-й степени двучлена а + b при различных значениях n, выпишем их, начиная с n = 1 и заканчивая n = 5.

    (a + b)1 = а + b,

    (а + b)2 = а2 + 2ab + b2,

    (а + b)3 = а3 + 3a2b + 3ab2 + b3,

    (a + b)4 = a4 + 4a3b + 6a2b2 + 4ab3 + b4,

    (a + b)5 = a5 + 5a4b + 10a3b2 + 10a2b3 + 5ab4 + b5.

Рассматривая эти формулы, можно заметить, что в правой части каждой из них записан многочлен, содержащий n + 1 членов, где n — показатель степени двучлена.

Первый член многочлена равен аn, т. е. равен произведению аn и b0. Далее при переходе к каждому последующему члену показатель степени а уменьшается на 1, а показатель степени b увеличивается на 1, т. е. сумма показателей степеней в каждом слагаемом равна n.

Сложнее обстоит дело с коэффициентами. Чтобы выявить закономерность в их образовании, выпишем по порядку в строку коэффициенты многочленов при n = 2, а затем при n = 3:

Во второй строке первый и последний коэффициенты равны 1. Нетрудно заметить, что второй коэффициент можно получить, сложив записанные над ним числа 1 и 2, третий — сложив записанные над ним числа 2 и 1.

По тому же правилу получаем строку для n = 4 из строки, записанной для n = 3:

Окончание >>>

 

 

???????@Mail.ru