Главная >> Домашние работы к учебнику Макарычева. Алгебра 7 класс

Решенния задач

Свойства действий над числами

70. а) переместительное свойство; б) переместительно свойство; в) сочетательное свойство; г) распределительное свойство.

71. а) 3,17 + 10,2 + 0,83 + 9,8 = (3,17 + 0,83) + (10,2 + 9,8) = 4 + 20 = 24;

б) 4,11 + 15,5 + 0,89 + 4,4 = (4,11 + 0,89) + (15,5 + 4,4) = 5 + 19,9 = 24,9;

в) 15,21 - 3,9 - 4,7 + 6,76 = (15,21 + 6,79) - (3,9 + 4,7) = 22 - 8,6 = 13,4;

г) -4,27 + 3,8 - 5,73 - 3,3 = -(4,27 + 5,73) + (3,8 - 3,3) = -10 + 0,5 = -9,5.

72. а) 8,91 + 25,7 + 1,09 = (8,91 + 1,09) + 25,7 = 10 + 25,7 = 35,7;

б) 6,64 + 7,12 + 2,88 = 6,64 + (7,12 + 2,88) = 6,64 + 10 = 16,64;

в) 7,15 - 9,42 + 12,85 - 0,58 = (7,15 + 12,85) - (9,42 + 0,58) = 20 - 10 = 10;

г) 18,9 - 6,8 - 5,2 - 4,1 = -(6,8 + 5,2) + (18,9 - 4,1) = -12 + 14,8 = 2,8.

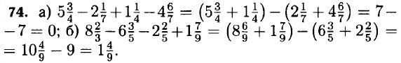
73. a)

Использовали: 1) переместительное свойство; 2) сочетательное свойство,

Использовали: 1) переместительное свойство; 2) сочетательное свойство.

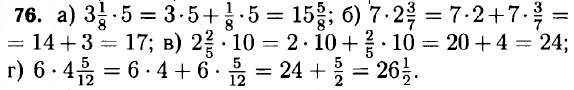
75. а) 50 • 1,34 • 0,2 = (50 • 0,2) • 1,34 = 10 • 1,34 = 13,4;

б) -75,7 • (0,5 • 20) = -75,7 • 10 = -757;

в) 25х (-15,8) • 4 = (25 • 4) • (-15,8) = 100 • (-15,8) = -1580;

г) 0,47 • (0,4 • 25) = 0,47 • 10 = 4,7.

77. а) 3,5 • 6,8 + 3,5 • 3,2 = 3,5 • (6,8 + 3,2) = 3,5 • 10 = 35;

б) 12,4 • 14,3 - 12,4 • 4,3 = 12,4 • (14,3 - 4,3) = 12,4 х 10 = 124.

78. а) 15,7 • 3,09 + 15,7 • 2,91 = 15,7 • (3,09 + 2,91) = 15,7 • 6 = 94,2;

б) 4,03 • 27,9 - 17,9 • 4,03 = 4,03 х (27,9 - 17,9) = 4,03 • 10 = 40,3.

79. а) 24 • 17 + 17 • 6 = 17 • (24 + 6) = 17 • 30. 30 делиться на 5 значит и 24 • 17 + 17 • 6 делиться на 5.

б) 34 • 85 + 34 • 36 = 34 • (85 + 36) = 34 • 121 = 34 • 112. Очевидно, что выражение 34 • 85 + 34 • 36 кратно 11.

80. 5 • а — стоимость 5 наборов карандашей; 10 х b — стоимость 10 альбомов; 5 • а + 10 • 6 — стоимость покупки.

81. υср — средняя скорость движения автомобиля.

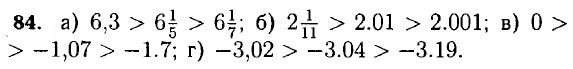
82. А = 1,5; В = -1,5; С = -0,2; D = 0.6.

83.

<<< К началу

 

 

???????@Mail.ru