Главная >> Алгебра 7 класс. Макарычев. ГДЗ

§ 2. Преобразование выражений

Свойства действий над числами

Напомним основные свойства сложения и умножения чисел.

1) Переместительное свойство: для любых чисел а и b верны равенства

    а + b = b + a, ab = bа.

2) Сочетательное свойство: для любых чисел a, b и с верны равенства

    (а + b) + с = а + (b + с), (ab)c = a(bc).

3) Распределительное свойство:

    a (b + с) = аb + ас.

Из переместительного и сочетательного свойств сложения следует:

в любой сумме можно как угодно переставлять слагаемые и произвольным образом объединять их в группы.

П р и м е р 1. Вычислим сумму 1,23 + 13,5 + 4,27.

Для этого удобно объединить первое слагаемое с третьим. Получим

1,23 + 13,5+ 4,27 = (1,23+ 4,27)+ 13,5 = 5,5 + 13,5= 19.

Из переместительного и сочетательного свойств умножения следует:

в любом произведении можно как угодно переставлять множители и произвольным образом объединять их в группы.

П р и м е р 2. Найдём значение произведения 1,8 • 0,25 • 64 • 0,5.

Объединив первый множитель с четвёртым, а второй — с третьим, получим

1,8 • 0,25 • 64 • 0,5 = (1,8 • 0,5) • (0,25 • 64) = 0,9 • 16= 14,4.

Распределительное свойство справедливо и в том случае, когда число умножается на сумму трёх и более слагаемых.

Например, для любых чисел а, b, с и d верно равенство

    а (b + с + d) = ab + ас + ad.

Мы внаем, что вычитание можно заменить сложением, прибавив к уменьшаемому число, противоположное вычитаемому:

    а - b = а + (-b).

Это позволяет числовое выражение вида а - b считать суммой чисел а и -b, числовое выражение вида а + b - с - d считать суммой чисел а, b, -с, - d и т.п. Рассмотренные свойства действий справедливы и для таких сумм.

Пример 3. Найдём значение выражения 3,27- 6,5-2,5+ 1,73.

Это выражение является суммой чисел 3,27, -6,5, -2,5 и 1,73.

Применив свойства сложения, получим

3,27 - 6,5 - 2,5 + 1,73 = (3,27 + 1,73) + (-6,5 - 2,5) = 5 + (-9) = -4.

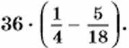
Пример 4. Вычислим произведение

Множитель можно рассматривать как сумму чисел и Используя распределительное свойство умножения, получим

Окончание >>>

 

 

???????@Mail.ru