Главная >> Алгебра 7 класс. Макарычев. ГДЗ

§ 16. Решение систем линейных уравнений

Способ сложения (продолжение)

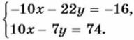
Пример 2. Решим систему уравнений

Почленное сложение уравнений системы не приведёт к исключению одной из переменных. Однако если умножить все члены первого уравнения на -2, а второе уравнение оставить без изменений, то коэффициенты при х в полученных уравнениях будут противоположными числами:

Теперь почленное сложение приводит к уравнению с одной переменной -29у = 58. Из этого уравнения находим, что у = -2. Подставив во второе уравнение вместо у число -2, найдём значение х:

    10x - 7 • (-2) = 74, 10x = 60, x = 6.

Ответ. x = 6, у = -2.

Пример 3. Решим систему уравнении

Подберём множители к уравнениям системы так, чтобы после умножения на них коэффициенты при у стали противоположными числами. Умножив первое уравнение системы на -4, а второе на 5, получим

Отсюда найдём, что 13x = 143, x = 11. Подставив значение * в уравнение 5x - 4у = 103, найдём, что у = -12.

Ответ. x = 11, у = -12.

Мы рассмотрели примеры решения систем способом сложения. При решении системы двух линейных уравнений с двумя переменными способом сложения поступают следующим образом:

1) умножают почленно уравнения системы, подбирая множители так, чтобы коэффициенты при одной из переменных стали противоположными числами;

2) складывают почленно левые и правые части уравнений системы;

3) решают получившееся уравнение с одной переменной;

4) находят соответствующее значение второй переменной.

Заметим, что если коэффициенты при одной из переменных являются противоположными числами, то решение сразу начинают с почленного сложения уравнений.

Упражнения

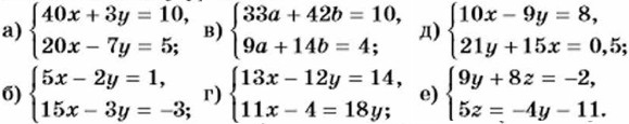
1082. Решите систему уравнений:

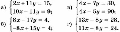
1083. Найдите решение системы уравнений:

1084. Решите систему уравнений:

1085. Решите систему уравнений:

<<< К началу      Окончание >>>

 

 

???????@Mail.ru