Главная >> Алгебра 7 класс. Макарычев. ГДЗ

Сведения из курса математики 5—6 классов

Обыкновенные дроби

6. Правильной дробью называется дробь, у которой числитель меньше знаменателя.

Неправильной дробью называется дробь, у которой числитель больше знаменателя или равен ему.

7. Основное свойство дроби: если числитель и знаменатель дроби умножить или разделить на одно и то же натуральное число, то получится равная ей дробь.

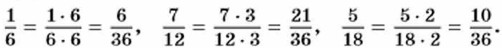
8. Чтобы привести дроби к наименьшему общему знаменателю, надо найти наименьшее общее кратное знаменателей дробей; вычислить дополнительные множители, разделив наименьшее общее кратное на каждый знаменатель; умножить числитель и знаменатель каждой дроби на соответствующий дополнительный множитель. Например, приведём к наименьшему общему знаменателю дроби Наименьший общий знаменатель равен 36:

9. При сложении дробей с одинаковыми знаменателями к числителю первой дроби прибавляют числитель второй дроби и оставляют тот же знаменатель. При вычитании дробей с одинаковыми знаменателями из числителя первой дроби вычитают числитель второй дроби и оставляют тот же знаменатель.

Например,

При сложении и вычитании дробей с разными знаменателями сначала их приводят к общему знаменателю.

10. Чтобы перемножить две дроби, надо перемножить отдельно их числители и знаменатели и первое произведение сделать числителем, а второе — знаменателем. Чтобы разделить одну дробь на другую, надо делимое умножить на дробь, обратную делителю.

Например,

 

 

???????@Mail.ru