Главная >> Алгебра 7 класс. Макарычев. ГДЗ

§ 3. Уравнения с одной переменной

Линейное уравнение с одной переменной

Каждое из уравнений 5x = -4, -0,2x =0, -х = -6,5 имеет вид ах = b, где x — переменная, а иb — числа. В нервом уравнении а = 5, b = -4, во втором а = -0,2, b = 0, в третьем а = -1, b = -6,5.

Такие уравнения называют линейными уравнениями с одной не ременной.

Определение. Уравнение вида ах = b, где х — переменная, а и b — некоторые числа, называется линейным уравнением с одной переменной.

Выясним, сколько корней может иметь линейное уравнение.

Рассмотрим уравнение ах = b, в котором коэффициент а не равен нулю. Разделив обе части уравнения на а, получим Значит, линейное уравнение ах = b, в котором а ≠ 0, имеет единственими корень

Рассмотрим уравнение ах = b, у которого коэффициент а равен нулю. Если а = 0 и b ≠ 0, то уравнение ах = b не имеет корней, так как равенство 0х = b не является верным ни при каком х. Если а = 0 и b = 0, то любое значение х является корнем уравнения, так как равенство 0x = 0 верно при любом х.

Линейное уравнение ах = b при а ≠ 0 имеет один корень, при а = 0 и b ≠ 0 не имеет корней, при а = 0 и b = 0 имеет бесконечно много корней (любое число является его корнем).

Решение многих уравнений сводится к решению линейных уравнений.

Пример. Решим уравнение 4(х + 7) = 3 - х.

Раскроем скобки:

    4х + 28 = 3 - х.

Перенесём слагаемое -х в левую часть уравнения, а слагаемое 28 в правую часть, изменив при этом их знаки:

    4х + х = 3 - 28.

Приведём подобные слагаемые:

    5х =-25.

Разделим обе части уравнения на 5:

    х = -5.

Применяя свойства уравнений и выполняя тождественные преобразования, мы последовательно заменяли одно уравнение другим, равносильным ему. Значит, корнем уравнения 4(х + 7) = 3 - х является число -5.

В этом примере исходное уравнение свелось к равносильному линейному уравнению, в котором коэффициент при переменной отличен от нуля.

Если при решении уравнения мы придём к равносильному ему линейному уравнению вида 0х = b, то в этом случае либо исходное уравнение не имеет корней, либо его корнем является любое число. Решим уравнение 2х + 5 = 2(x + 6):

    2х + 5 = 2x + 12,

    2х - 2х = 12 - 5,

    0х = 7.

Полученное уравнение не имеет корней. Значит, и уравнение 2х + 5 = 2(х + 6) не имеет корней.

Уравнение 3(х + 2) + х = 6 + 4х сводится к уравнению Оде = О, корнем которого является любое число. Следовательно, корнем уравнения 3(х + 2) + х = 6 + 4х является любое число.

Упражнения

126. Найдите корень уравнения:

а) 5х = -60;

б) -10х = 8;

в) 7х = 9;

г) 6х = -50;

д) -9х = -3;

е) 0,5х = 1,2;

ж) 0,7х = 0;

з) — 1,5х = 6;

и) 42х = 13.

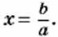
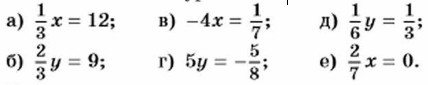
127. Решите линейное уравнение:

128. Найдите корень уравнения:

а) 5х - 150 = 0;

б) 48 - 3х = 0;

в) -1,5х - 9 = 0;

г) 12х - 1 = 35;

д) -х + 4 = 47;

е) 1,3х = 54 + х;

ж) 7 = 6 - 0,2х;

з) 0,15х + 6 = 51;

и) -0,7х + 2 = 65.

Окончание >>>

 

 

???????@Mail.ru