Главная >> Решенния упражнений к учебнику Макарычева. Алгебра 7 класс

Решенния упражнений

Решение задач с помощью уравнений (окончание)

157. Пусть t дней первый человек будет в пути. Так как второй человек вышел на 1 день позже, в пути он будет t — 1 дней.

Значит 40t = 45 • (t — 1) ⇒ 40t = 45t = 45 ⇒ 5t = 45 ⇒ t = 9 ⇒ t - 1 = 8. Ответ: за 8 дней второй человек догонит первого.

158. Пусть плотников было х, тогда маляров было 2,5х. Прораб включил в бригаду ещё 4 моляров, их стало 2,5х + 4, двух плотников перевёл на другой объект, их стало 2,5х - 2. В результате маляров в бригаде оказалось в 4 раза больше, чем плотников. Значит 2,5х + 4 = 4 • (х - 2) ⇒ 2,5х + 4 = 4х - 8 ⇒ 1,5х = 12 ⇒ х = 8 ⇒ 2,5x = 20. Ответ: 8 плотников и 20 моляров было в бригаде первоначально.

159. 1-е решение. Пусть в классе х девочек, значит мальчиков Число мальчиков и девочек целые, значит число девочек обязательно должно быть кратным 5. В классе тогда всего учатся

2- е решение. Пусть в классе х мальчиков, значит девочек Число мальчиков и девочек целые, значит число мальчиков обязательно должно быть кратным 4. В классе тогда всего учатся

3- е решение. Пусть в классе х учащихся. Отношение числа девочек к числу 5 : 4 значит девочек а мальчиков Число учащихся должно быть кратно 9.

    1) Число учащихся 9, 18, 27, 36.

    2) Если учеников 27, тогда мальчиков 12, девочек 15.

160. Пусть изначально в корзине было х кг винограда, а в ящике тогда 2х кг. В корзину добавили ещё 2 кг, и в ней стало винограда на 0,5 кг больше, чем в ящике. Значит х + 2 = 2х + 0,5 ⇒ х = 1,5. Ответ: 1,5 кг.

161. Пусть первый арбуз весит х кг, второй арбуз весит х + 2 кг, поскольку первый арбуз на 2 кг легче, чем первый. Третий 5а: поскольку в 5 раз тяжелее первого. Первый и третий арбузы вместе в 3 раза тяжелее, чем второй.

Значит x + 5x = 3 • (а; + 2) ⇒ 6x = 3x + 6 ⇒ 3x = 6 ⇒ x = 2 ⇒ x + 2 = 4 ⇒ 5x = 10. Ответ: первый арбуз 2 кг, второй 4 кг и третий 10 кг.

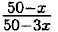
162. Пусть из первого взяли х кг сахара, тогда из второго 3x. После того как из мешков взяли сахар в одном стало в 2 раза меньше сахара чем в другом. Из первого мешка взяли меньше сахара, поэтому, в нём осталось больше сахара.

Значит = 2 ⇒ 50 - x = 2 • (50 - 3x) ⇒ 50 - х = 100 - 6x ⇒ 5х = 50 ⇒ х - 10 ⇒ 3х - 30 ⇒ 50 - 10 = 40 ⇒ 50 - 30 = 20. Ответ: 20 кг и 40 кг.

165. -0,5 • (7b - 12a) - (8,4a - 14b) = -3,5b + 6a - 8,4а + 14b = 10,5b - 2,4x при а = —10. и 6 = -6 ⇒ 10,5 • (-6) - 2,4 • (-10) = 24 - 63 = -39.

<<< К началу

 

 

???????@Mail.ru