Главная >> Алгебра 7 класс Мордкович

Глава 3. Системы двух линейных уравнений с двумя переменными

§ 13. Метод алгебраического сложения (окончание)

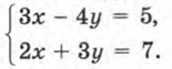
Пример 2. Решить систему уравнений

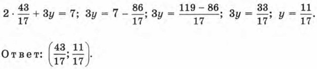
Р е ш е н и е. Здесь сразу исключить переменную х или переменную у из обоих уравнений с помощью сложения или вычитания уравнений не удастся. Нужен подготовительный этап. Сначала умножим все члены первого уравнения системы на 3, а все члены второго уравнения — на 4. Получим

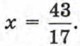
Теперь можно сложить уравнения, что приведёт к исключению переменной у. Имеем 17х = 43, т. е.

    Подставим найденное значение х во второе уравнение исходной системы, т. е. в уравнение 2х + 3y = 7:

    Краткая запись приведённого решения:

    Здесь справа от вертикальной черты записаны дополнительные множители, с помощью которых удалось уравнять абсолютные величины коэффициентов при переменной у в обоих уравнениях системы.

    Метод, который мы обсудили в этом параграфе, называют методом алгебраического сложения.

      Вопросы для самопроверки

    1. Расскажите, в чём суть метода алгебраического сложения при решении системы двух линейных уравнений с двумя переменными.

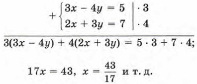
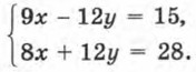
    2. Прокомментируйте метод алгебраического сложения на примере решения системы уравнении:

    3. Решите систему уравнении дважды применив метод алгебраического сложения.

    4. Как вы считаете, в каких случаях при решении системы линейных уравнений с двумя переменными удобнее использовать метод алгебраического сложения, чем метод подстановки?

    <<< К началу

     

 

???????@Mail.ru