Главная >> Алгебра 7 класс Мордкович

Глава 4. Степень с натуральным показателем и её свойства

§ 18. Умножение и деление степеней с одинаковыми показателями (окончание)

Правило 4. Чтобы перемножить степени с одинаковыми показателями, достаточно перемножить основания, а показатель степени оставить неизменным.

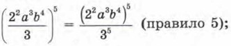
Правило 5. Чтобы разделить друг на друга степени с одинаковыми показателями, достаточно разделить одно основание на другое, а показатель степени оставить неизменным.

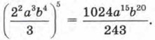
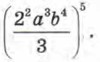
Пример 3. Упростить выражение

Р е ш е н и е. Имеем

далее

    (22a3b4)5 = (22)5(a3)5(b4)5 (правило 4).

Но

    (2 )5 = 210 = 1024; (a3)5 = a15; (b4)5 = b20 (правило 3).

Значит, (22a3b4)5 = 1024a15b20. Так как 35 = 243, то окончательно получаем

В заключение — одно предостережение. Мы знаем, что:

Если же умножение и деление выполняется над степенями с различными основаниями и разными показателями, то будьте внимательны. Так, 35 • 24 можно вычислить «в лоб»: сначала вычислить 35, затем 24 и, наконец, выполнить умножение. А можно так: 3 • 34 • 24 = 3 • (3 • 2)4 = 3 • 64.

    Вопросы для самопроверки

1. Закончите предложение: «Чтобы перемножить степени с одинаковыми показателями ...».

2. Закончите предложение: «Чтобы разделить друг на друга степени с одинаковыми показателями ...».

3. Запишите каждое из сформулированных вами в п. 1 и 2 правил на математическом языке.

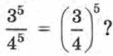
4. Верно ли, что 35 • 45 = 125? Если да, то сошлитесь на соответствующее свойство степеней.

5. Верно ли, что Если да, то сошлитесь на соответствующее свойство степеней.

6. Верно ли, что 285 = 25 • 25 • 75? Если да, то сошлитесь на соответствующее свойство степеней.

7. Запишите число 330 в виде степени с основанием 27.

<<< К началу

 

 

???????@Mail.ru