Главная >> Алгебра 7 класс Мордкович

Глава 6. Многочлены. Арифметические операции над многочленами

§ 25. Сложение и вычитание многочленов

В предыдущем параграфе мы ввели понятия многочлена и стандартного вида многочлена. Вы уже, наверное, начинаете привыкать к тому, что, введя новое понятие, надо учиться работать с ним. В частности, будем учиться выполнять арифметические операции над многочленами.

Начинаем со сложения и вычитания. Это очень простые операции: чтобы сложить несколько многочленов, их записывают в скобках со знаком «+» между скобками, раскрывают скобки и приводят подобные члены. При вычитании одного многочлена из другого их записывают в скобках со знаком «-» перед вычитаемым, раскрывают скобки и приводят подобные члены.

Пример 1. Сложить многочлены:

    а) p1(x) = 2х2 + 3х - 8, р2(х) = 5х + 2;

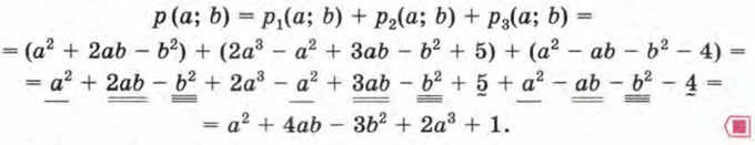
    б) р1(а; b) = а2 + 2ab - b2, р2(а; b) = 2а3 - а2 + 3ab - b2 + 5, р3(а; b) = а2 - ab - b2 - 4.

Р е ш е н и е.

а) Обозначим сумму многочленов через р(х). Тогда

    р(х) = р1(х) + р2(х) = (2х2 + 3х - 8) + (5x + 2) = 2х2 + 3х - 8 + 5x + 2 = 2х2 + (3х + 5х) + (-8 + 2) = 2х2 + 8х - 6.

б) Обозначим сумму многочленов через р(а; b). Тогда

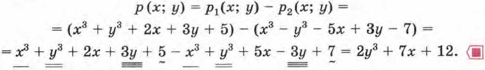
Пример 2. Найти разность многочленов

    р1(x; у) = х3 + у3 + 2х + 3у + 5

и

    р2(х; у) = х3 - у3 - 5х + 3у - 7.

Р е ш е н и е. Обозначим разность многочленов через р(х; у). Тогда

Обратите внимание: х3 - х3 = 0 и 3у - 3у = 0. Поэтому «исчезли» одночлен х3 и одночлен Зу из состава обоих многочленов. В таких случаях говорят: х3 и -х3, 3у и -3у взаимно уничтожились (правда, школьники в таких случаях любят говорить «сократились», но так говорить не следует: термин «сокращение» в математике принято употреблять только по отношению к дробям; например, можно сократить дробь и тогда получится

Окончание >>>

 

 

???????@Mail.ru