Главная >> Алгебра 7 класс Мордкович

Глава 7. Разложение многочленов на множители

§ 35. Сокращение алгебраических дробей (окончание)

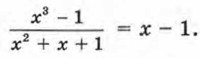
Например, как мы уже установили ранее,

(многочлен 6х3 - 24х2 удалось разделить на 6х2, при этом в частном получается х - 4); мы также отмечали, что

Но так бывает сравнительно редко.

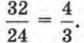
Впрочем, похожая ситуация уже встречалась вам — при изучении обыкновенных дробей. Например, дробь можно заменить целым числом 4, а дробь — целым числом 5. Однако дробь целым числом заменить не удаётся, хотя эту дробь можно сократить, разделив числитель и знаменатель на число 8 — общий множитель числителя и знаменателя: Точно так же можно сокращать алгебраические дроби, разделив одновременно числитель и знаменатель дроби на их общий множитель. А для этого надо разложить и числитель, и знаменатель дроби на множители. Здесь нам и понадобится всё то, что мы так долго обсуждали в этой главе.

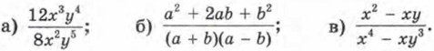
Пример. Сократить алгебраическую дробь:

Р е ш е н и е.

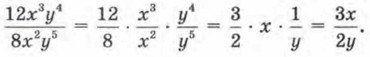
а) Найдём общий множитель для одночленов 12х3у4 и 8х2у5; это 4х2у4. Тогда

    12х3у4 = 4х2у4 • 3х; 8х2у5 = 4х2у4 • 2у.

Значит,

Числитель и знаменатель заданной алгебраической дроби сократили на общий множитель 4х2у4.

Решение этого примера можно записать по-другому:

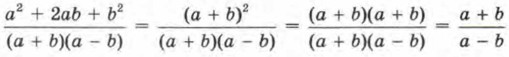
б) Чтобы сократить дробь, разложим её числитель и знаменатель на множители. Получим

(дробь сократили на общий множитель а + b).

А теперь вернитесь к замечанию 2 из § 1. Видите, данное там обещание мы наконец-то смогли выполнить.

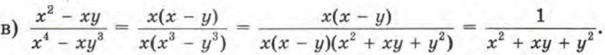
(сократили дробь на общий множитель числителя и знаменателя, т. е. на х(х - у)).

Итак, для того чтобы сократить алгебраическую дробь, следует сначала разложить на множители её числитель и знаменатель (если они не совпадают). Так что ваш успех в этом новом деле (сокращении алгебраических дробей) в основном зависит от того, как вы усвоили материал предыдущих параграфов этой главы.

    Вопросы для самопроверки

1. Сформулируйте определение алгебраической дроби.

2. Используя переменные а и b, запишите алгебраическую дробь, у которой числитель представляет собой трёхчлен, а знаменатель — одночлен.

3. Что означает задание «Сократите алгебраическую дробь»? Что надо сделать, чтобы выполнить это задание?

4. Может ли в результате сокращения алгебраической дроби в ответе получиться одночлен? число?

5. Приведите пример алгебраической дроби, в результате сокращения которой получается двучлен.

<<< К началу

 

 

???????@Mail.ru