Главная >> Алгебра 7 класс Мордкович

Глава 8. Функция у = х2

§ 39. Что означает в математике запись у = ƒ(x) (окончание)

Обсудим одно из таких новых свойств. График функции, рассмотренной в примере 4, состоит из трёх ветвей (из трёх «кусочков»). Первая и вторая ветви (отрезок прямой у = х + 2 и часть параболы) «состыкованы» удачно: отрезок заканчивается в точке (-1; 1), а участок параболы начинается в той же точке. А вот вторая и третья ветви менее удачно «состыкованы»: третья ветвь («кусочек» горизонтальной прямой) начинается не в точке (0; 0), а в точке (0; 4). Математики говорят так: «функция у = ƒ(x) претерпевает разрыв при х = 0 (или в точке х = 0)». Если функция не имеет точек разрыва, то её называют непрерывной. Так, все функции, с которыми мы познакомились в предыдущих параграфах (у = b, у = kx, у = kx + m, у = х2, у = -х2), — непрерывные.

Пример 5. Дана функция Построить и прочитать её график.

Р е ш е н и е.

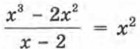
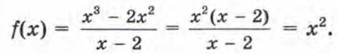
Как видите, здесь функция задана достаточно сложным выражением. Но математика — единая и цельная наука, её разделы тесно связаны друг с другом. Воспользуемся тем, что мы изучали в главе 7, и сократим алгебраическую дробь Имеем

Итак, на самом деле ƒ(x) = x2. Правда, надо учесть, что тождество справедливо лишь при ограничении х ≠ 2. Следовательно, мы можем переформулировать задачу так: вместо функции будем рассматривать функцию у = х2, где х ≠ 2.

Построим на координатной плоскости хОу параболу у = х2. Прямая х = 2 пересекает её в точке (2; 4). Но по условию х ≠ 2, значит, точку (2; 4) параболы мы должны исключить из рассмотрения, для чего на чертеже отметим эту точку светлым кружком. Таким образом, график функции построен — это парабола у = х2 с «выколотой» точкой (2; 4) (рис. 73).

Перейдём к описанию свойств функции у = ƒ(x), т. е. к чтению её графика.

    1. Независимая переменная х принимает любые значения, кроме х = 2. Значит, область определения функции состоит из двух открытых лучей (-∞; 2) и (2; +∞).

    2. унаим = 0 (достигается при х = 0), yнаи6 не существует.

    3. Функция претерпевает разрыв при х = 2 (в точке х = 2); на (-∞; 2) и на (2; +∞) она непрерывна.

    4. у = 0, если х = 0.

    5. у > 0, если х е (-∞; 0), если х ∈ (0; 2) и если x ∈ (2; +∞).

    6. Функция убывает на луче (-∞; 0], возрастает на полуинтервале [0; 2) и на открытом луче (2; +∞).

      Вопросы для самопроверки

    1. Известно, что ƒ(x) = 2х + 3. Найдите:

      a)ƒ(2x); б) ƒ(2x + 3).

    2. Известно, что ƒ(x) = х2. Найдите:

      а) ƒ(2х); б) ƒ(2x + 3); в) ƒ(-x); г) ƒ(x6).

    3. Известно, что ƒ(x) = -х2. Найдите:

a) ƒ(0,5x); б) ƒ(x - 3); в) ƒ(-2x); г) ƒ(-x3).

4. Как вы понимаете, что такое кусочная функция?

5. Приведите пример кусочной функции у = ƒ(x), в котором задание вычислить ƒ(17) является некорректным.

6. Придумайте кусочную функцию, график которой состоит из части параболы и луча графика линейной функции. Задайте её аналитически (с помощью формул).

7. Придумайте кусочную функцию, график которой состоит из части параболы и двух отрезков графиков разных линейных функций. Задайте её аналитически.

8. Приведите пример функции, которая претерпевает разрыв при х = 1.

9. Сколько свойств функции мы уже можем записать, когда выполняем чтение графика? Перечислите эти свойства.

<<< К началу

 

 

???????@Mail.ru