|
|
|
|
|
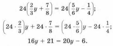
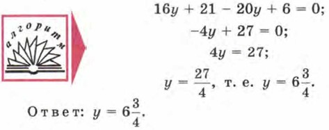
Глава 1. Математический язык. Математическая модель § 4. Линейное уравнение с одной переменной (окончание)Второй способ. Прежде чем применять алгоритм, умножим обе части уравнения на 24 — это наименьший общий знаменатель имеющихся дробей. При этом мы пользуемся тем, что если А = В, то 24А = 24В, и обратно. Получим
А далее воспользуемся алгоритмом:
Пример 2. Решить уравнение Р е ш е н и е. Воспользовавшись основным свойством пропорции (произведение крайних членов пропорции равно произведению средних членов), получим 2(3z - 4) = 5(2z + 1). Дальнейший ход решения, надеемся, уже не требует комментариев: 6z - 8 - 10z -5 = 0;
Пример 3. Купили некоторое количество книг для библиотеки и пытаются разместить их на одинаковых полках стеллажа. Сначала поставили по 20 книг на каждую полку. В результате две полки оказались пустыми, а остальные заполненными (по 20 книг). Затем решили ставить по 15 книг на полку. Попытка оказалась удачной: все полки заполнились (по 15 книг на каждой). Сколько книг было куплено? Первый этап. Составление математической модели. Обозначим буквой х число полок в стеллаже. Когда на каждую полку поставили по 20 книг, то заполненными оказались (x - 2) полки. Значит, общее число купленных книг выражается формулой 20(x - 2). Далее в задаче сказано, что когда на каждую полку поставили по 15 книг, то все х полок оказались заполненными сплошь. Значит, общее число купленных книг выражается формулой 15x. Остаётся приравнять два полученных выражения числа купленных книг: 20(x - 2) = 15x. Это уравнение — математическая модель задачи. Второй этап. Работа с составленной математической моделью. Решаем уравнение: 20(x - 2) - 15x = 0;
Третий этап. Ответ на вопрос задачи. Мы выяснили, что в стеллаже 8 полок. Все купленные книги разместились на этих полках по 15 штук на каждой. Значит, всего было куплено 15 • 8 = 120 книг. О т в е т: всего было куплено 120 книг. Вопросы для самопроверки 1. Что такое линейное уравнение с одной переменной? 2. Что называют корнем уравнения с одной переменной? 3. Приведите пример уравнения, у которого нет корней. 4. Что означает фраза: «Решить линейное уравнение»? 5. Приведите пример линейного уравнения с одной переменной. 6. Как вы думаете, может ли корнем линейного уравнения с одной переменной быть отрицательное число? Если да, то приведите пример. 7. Найдите корень уравнения 2x + 7 = 11. 8. Приведите пример линейного уравнения с одной переменной, имеющего своим корнем число: а) 0; б) 2; в) -1. 9. Сформулируйте алгоритм решения линейного уравнения ах + b = 0 в случае, когда а ≠ 0. 10. Сформулируйте алгоритм решения линейного уравнения ах + b = сx + d (а ≠ с).
|
|
|