Главная >> Алгебра 7 класс Мордкович

Глава 2. Линейная функция

§ 8. Линейная функция и её график

Алгоритм построения графика уравнения ах + by + с = 0, который мы сформулировали в § 7, при всей его чёткости и определённости математикам не очень нравится. Обычно они выдвигают претензии к первым двум шагам алгоритма. Зачем, говорят они, дважды решать уравнение относительно переменной у: сначала ах1 + by + с - 0, затем ах2 + by + с = 0? Не лучше ли сразу выразить у из уравнения ах + by + с = 0, тогда легче будет проводить вычисления (и, главное, быстрее)? Давайте проверим.

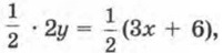
Рассмотрим сначала уравнение 3x - 2у + 6 = 0 (см. пример 2 из § 7), т. е. 2у = 3х + 6.

Умножив обе части уравнения на получим т.е. Впрочем, тот же результат мы получили бы, если бы обе части исходного уравнения почленно разделили на 2. Обычно предпочитают в подобных случаях говорить не об умножении, а о почленном делении обеих частей уравнения на одно и то же число.

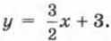
Итак,

Придавая х конкретные значения, легко вычислить соответствующие значения у. Например, при x = 0 получаем у = 3; при х = -2 имеем у - 0; при х - 2 имеем у = 6; при х = 4 получаем у = 9. Видите, как легко и быстро найдены точки (0; 3), (-2; 0), (2; 6) и (4; 9), которые были выделены в примере 2 из § 7.

Точно так же уравнение 5х - 2у = 0 (см. пример 4 из § 7) можно было преобразовать к виду 2у = 5х и, далее, у = 2,5л:; нетрудно найти точки (0; 0) и (2; 5), удовлетворяющие этому уравнению. Наконец, уравнение 3x + 2у - 16 = 0 из того же примера можно было преобразовать к виду 2у = 16 - 3x и, далее, Из этого уравнения можно найти точки (0; 8) и (2; 5), которые ему удовлетворяют.

Рассмотрим теперь указанные преобразования в общем виде.

Случаи, когда в уравнении ах + by + с = 0 коэффициенты а и b равны нулю, мы рассмотрели в § 7. Там же мы отметили, что в случае, когда а ≠ 0, b = 0, графиком уравнения является прямая, параллельная оси у.

Рассмотрим случай, когда b ≠ 0.

Имеем

Введя обозначения получаем

    у = kx + m.

Таким образом, линейное уравнение (1) с двумя переменными х и у в случае, когда b ≠ 0, можно преобразовать к виду

    у = kx + m,                         (2)

где k, m — числа (коэффициенты).

Это частный вид линейного уравнения. Зная, чему равен х, по правилу у = kx + m всегда можно найти, чему равен у. Будем называть уравнение (2) линейной функцией.

С помощью уравнения (2) легко, указав конкретное значение х, вычислить соответствующее значение у. Пусть, например, у = 2х + 3. Тогда

    если х = 0, то у = 3;

    если х = 1, то у = 5;

    если х = -1, то у = 1;

    если х = 3, то у = 9 и т. д.

Обычно эти результаты оформляют в виде таблицы:

Значения у из второй строки таблицы называют значениями линейной функции у = 2х + 3 соответственно в точках х = 0,х = 1, х = -1, х = 3.

В уравнении (1) переменные х и у равноправны, а в уравнении (2) — нет: конкретные значения мы придаём одной из них — переменной х, тогда как значение переменной у зависит от выбранного значения переменной х. Поэтому обычно говорят, что х — независимая переменная (или аргумент), у — зависимая переменная.

Частным случаем теоремы 1 из § 7 является следующая теорема.

Теорема 2.

Графиком линейной функции у = kx + m является прямая.

Пример 1. Построить график линейной функции у = 2х + 3.

Р е ш е н и е. Составим таблицу:

Построим на координатной плоскости хОу точки (0; 3) и (1; 5) и проведём через них прямую. Это и есть график линейной функции у = 2х + 3 (рис. 32).

Многие реальные ситуации описываются математическими моделями, представляющими собой линейные функции. Приведём примеры.

Первая ситуация. На складе было 500 т угля. Ежедневно стали подвозить по 30 т угля. Сколько угля будет на складе через 2, 4, 10 дней?

Если пройдёт х дней, то количество у угля на складе (в тоннах) выразится формулой у = 500 + 30х. Таким образом, линейная функция у = 30х + 500 есть математическая модель ситуации.

Теперь нетрудно установить, что:

    при х = 2 имеем у = 560 (в уравнение у = 30х + 500 подставили х = 2 и получили у — 560);

    при х = 4 имеем у = 620;

    при х = 10 имеем у = 800.

Продолжение >>>

 

 

???????@Mail.ru