Главная >> Алгебра. 8 класс. Макарычев

§ 4. Действительные числа

Рациональные числа (продолжение)

Применим теперь этот способ обращения обыкновенной дроби в десятичную к числу Делим числитель на знаменатель:

Первым остатком, полученным при делении, является само число 8. Второй остаток равен 6, третий равен 23. Затем опять получили в остатке 8. Продолжая деление, мы, как и раньше, приписываем к остаткам нули. Поэтому следующим остатком снова будет 6, потом получим остаток, равный 23, опять остаток, равный 8, и т. д. Сколько бы мы ни продолжали деление, мы не получим в остатке 0. Значит, деление никогда не закончится.

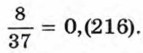
Говорят, что дробь обращается в бесконечную десятичную дробь 0,216216...:

Так как при делении числителя 8 на знаменатель 37 последовательно повторяются остатки 8, 6 и 23, то в частном в одном и том же порядке будут повторяться три цифры: 2, 1, 6. Бесконечные десятичные дроби такого вида называют периодическими. Повторяющаяся группа цифр составляет период дроби. При записи периодических десятичных дробей период пишут один раз, заключая его в круглые скобки:

Эта запись читается так: нуль целых, двести шестнадцать в периоде.

Число также записывается в виде бесконечной десятичной дроби:

Эта запись читается: нуль целых, пятьдесят восемь сотых, три в периоде.

Точно так же можно показать, что

Вообще каждое дробное число можно представить либо в виде десятичной дроби (конечной десятичной дроби), либо в виде бесконечной десятичной периодической дроби.

Любую конечную десятичную дробь и любое целое число можно записать в виде бесконечной десятичной периодической дроби, приписав справа в качестве десятичных знаков бесконечную последовательность нулей. Например:

    2,5 = 2,5000...; -3 =-3,000... .

Таким образом,

каждое рациональное число может быть представлено в виде бесконечной десятичной периодической дроби.

Верно и обратное утверждение:

каждая бесконечная десятичная периодическая дробь представляет некоторое рациональное число.

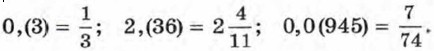
Например,

Эти равенства легко проверить, выполнив деление.

Разные бесконечные десятичные периодические дроби представляют разные рациональные числа. Исключением являются дроби с периодом 9, которые считают другой записью дробей с периодом 0:

    0,(9) = 0,999... = 1,000... = 1;
    16,1(9) = 16,1999... = 16,2000... = 16,2.

Бесконечные десятичные дроби с периодом 9 заменяют дробями с периодом 0. Заметим, что при обращении обыкновенной дроби в десятичную не может получиться дробь с периодом 9.

<<< К началу          Окончание >>>

 

 

???????@Mail.ru