Главная >> Алгебра. 8 класс. Макарычев

§ 6. Свойства арифметического квадратного корня

Квадратный корень из произведения и дроби

Сравним значения выражений

Мы видим, что Аналогичным свойством обладает корень из произведения любых двух неотрицательных чисел.

ТЕОРЕМА 1

Если а ≥ 0 и b ≥ 0, то √ab = √a • √b.

Каждое из выражений √a • √b и √ab имеет смысл, так как а ≥ 0 и b ≥ 0. Покажем, что выполняются два условия:

    1) √a • √b ≥ 0; 2) (√a • √b)2 = ab.

Так как выражения √a и √b принимают лишь неотрицательные значения, то произведение √a • √b неотрицательно.

Используя свойство степени произведения, получим

    (√a • √b)2 = (√a)2 • (√b)2 = ab.

Мы показали, что условия 1 и 2 выполняются. Значит, по определению арифметического квадратного корня при любых неотрицательных значениях а и b верно равенство

    √ab = √a • √b.

Доказанная теорема распространяется на случай, когда число множителей под знаком корня больше двух.

Например, если а ≥ 0, b ≥ 0, с ≥ 0, то
Действительно,

Таким образом, арифметический квадратный корень обладает следующим свойством:

корень из произведения неотрицательных множителей равен произведению корней из этих множителей.

Рассмотрим теперь арифметический квадратный корень из дроби.

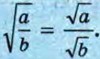
ТЕОРЕМА 2

Если а ≥ 0 и b > 0, то

Доказательство этой теоремы аналогично доказательству теоремы 1. Проведите доказательство самостоятельно.

Итак, справедливо ещё одно свойство арифметического квадратного корня:

корень из дроби, числитель которой неотрицателен, а знаменатель положителен, равен корню из числителя, делённому на корень из знаменателя.

Пример 1. Найдём значение выражения

Воспользуемся теоремой о корне из произведения:

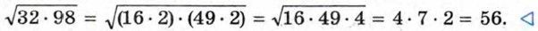
Пример 2. Вычислим значение выражения

Представим подкоренное выражение в виде произведения множителей, каждый из которых является квадратом целого числа, и применим теорему о корне из произведения:

Продолжение >>>

 

 

???????@Mail.ru