Главная >> Алгебра. 8 класс. Макарычев

§ 7. Применение свойств арифметического квадратного корня

Вынесение множителя за знак корня. Внесение множителя под знак корня (окончание)

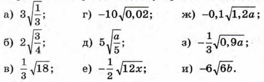
412. Представьте выражение в виде арифметического квадратного корня или выражения, ему противоположного:

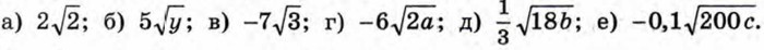
413. Замените выражение арифметическим квадратным корнем или выражением, ему противоположным:

414. Сравните значения выражений:

415. Сравните значения выражений:

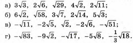
416. Расположите в порядке возрастания числа:

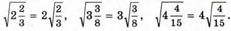
417. (Задача-исследование.) Проверьте, верны ли равенства

Выясните, каким должно быть соотношение между числами а и b, чтобы было верно равенство где a ∈ N и б ∈ N.

    1) Возведите в квадрат обе части равенства.
    2) Установите, каким должно быть соотношение между числами а и b.
    3) Проиллюстрируйте правильность вашего вывода на примерах.

418. (Для работы в парах.) Площадь треугольника S см2 со сторонами а см, b см и с см можно вычислить по формуле Герона:

где р — полупериметр треугольника.

Пользуясь калькулятором, найдите площадь треугольника, стороны которого равны:

    а) 12 см, 16 см, 24 см; б) 18 см, 22 см, 26 см.

    1) Распределите, кто выполняет задание а), а кто — задание б), и выполните вычисления.
    2) Проверьте друг у друга правильность вычислений.
    3) Обсудите, как изменится площадь треугольника, если каждую из его сторон увеличить в 2 раза. Выскажите предположение и выполните необходимые преобразования.

Упражнения для повторения

419. В школьной мастерской учащиеся за три дня переплели 144 книги. Сколько книг было переплетено в каждый из трёх дней, если известно, что во второй день учащиеся переплели на 12 книг больше, чем в первый, а в третий — числа книг, переплетённых в первый и во второй дни вместе?

420. Решите уравнение:

Ответы

    419. В первый день переплели 36 книг, во второй день — 48 книг, в третий — 60 книг.

    420. а) -2,5; б) -7,2.

<<< К началу

 

 

???????@Mail.ru