Главная >> Алгебра. 8 класс. Макарычев

§ 7. Применение свойств арифметического квадратного корня

Преобразование выражений, содержащих квадратные корни: Ответы

435. Найдите с помощью калькулятора приближённое значение выражения с точностью до 0,01:

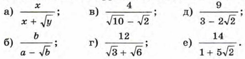
436. Освободитесь от иррациональности в знаменателе дроби:

437. Докажите, что:

438. Докажите, что числа 2 - √3 и 2 + √3 являются взаимно обратными, а числа 2√б - 5 и — противоположными.

439. Среди чисел

    15√3 - 4√2, 6 - √12, √80 - 5√3, √75 - 4√5,

есть пара взаимно обратных чисел и пара противоположных чисел. Найдите эти пары.

Упражнения для повторения

440. Упростите выражение и найдите его значение при x = -2,5.

441. Решите уравнение:

442. Площадь кольца вычисляется по формуле S = π (R2 - r2), где R — радиус внешнего круга, а r — радиус внутреннего круга. Выразите R через S и r.

443. Напишите для каждой прямой, изображённой на рисунке 20, уравнение, графиком которого является эта прямая.

Контрольные вопросы и задания

1. На примере выражения 3√а покажите, как можно внести множитель под знак корня.

2. На примере выражения √8a покажите, как можно вынести множитель за знак корня.

3. На примере выражении покажите, как можно освободиться от иррациональности в знаменателе дроби.

Ответы

    421. б) 7√2; в) 3√2; г) √3; д) 2√2.

    422. д) -3√2; е) 3√2.

    424. в) 6; е) 42 - 8√5.

    425. а) 14; б) 8.

    426. д) 6; е) -19; ж) 38; з) 2.

    429.

    430.

    440. 20.

    441. а)-1;

<<< К началу

 

 

???????@Mail.ru