Главная >> Алгебра. 8 класс. Макарычев

§ 5. Арифметический квадратный корень

Дополнительные упражнения к § 5

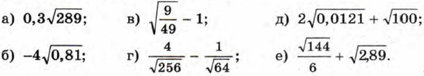
463. Найдите значение выражения:

464. Найдите значение выражения:

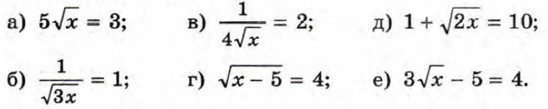
465. Решите уравнение:

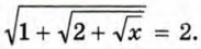
466. Решите уравнение

467. Может ли:

    а) сумма двух иррациональных чисел быть рациональным числом;
    б) произведение рационального и иррационального чисел быть рациональным числом?

468. Приведите пример уравнения вида х2 = а, которое:

    а) имеет два рациональных корня;
    б) имеет два иррациональных корня;
    в) не имеет корней.

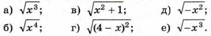
469. Укажите допустимые значения переменной х в выражении:

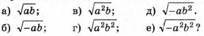
470. При каких значениях а и b имеет смысл выражение:

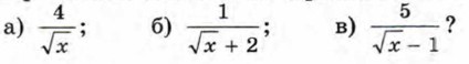
471. При каких значениях переменной х имеет смысл выражение:

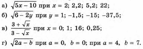
472. Найдите значение выражения:

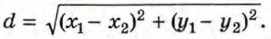
473. Расстояние между двумя точками координатной плоскости A(x1; y1) и В(х2; y2) вычисляется по формуле

Вычислите расстояние между точками А (-3,5; 4,3) и В (7,8; 0,4) с помощью калькулятора.

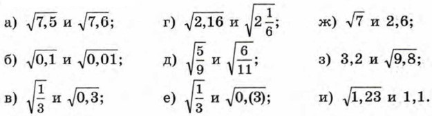
474. Сравните числа:

475. С помощью графиков выясните, сколько корней может иметь при различных значениях b уравнение:

    a) √x = x + b; б) √x = -x + b.

Ответы

    463. д) 10,22.

    465. д) 40,5.

    466. 49.

    471. а) При х > 0; б) при х ≥ 0; в) при х ≥ 0, кроме х = 1.

 

 

???????@Mail.ru