Главная >> Алгебра. 8 класс. Макарычев

§ 7. Применение свойств арифметического квадратного корня

Дополнительные упражнения к § 7

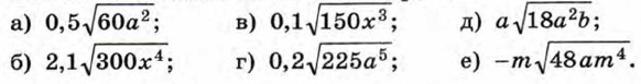
490. Вынесите множитель за знак корня:

491. Сравните числа:

492. Расположите в порядке возрастания числа:

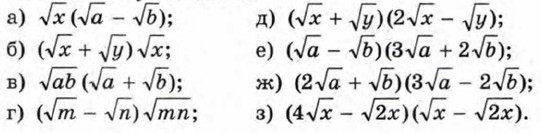
493. Выполните умножение:

494. Упростите выражение:

495. Представьте в виде квадрата суммы или квадрата разности выражение:^

496. Докажите, что:

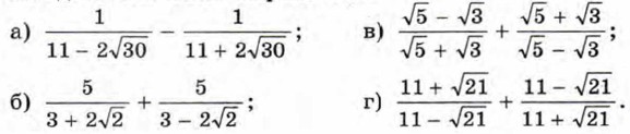
497. Найдите значение выражения:

498. Докажите, что значения выражений

являются натуральными числами.

499. Докажите, что значение выражения есть число рациональное:

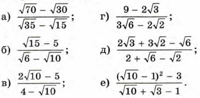
500. Найдите значение выражения:

501. Найдите значение дроби х = 3 + √5 и у = 3 - √5.

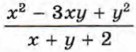
502. Сократите дробь:

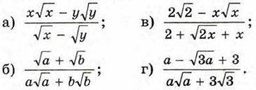
503. Сократите дробь:

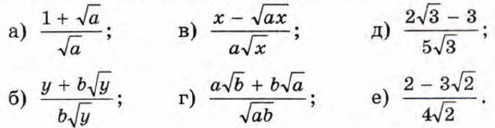
504. Освободитесь от иррациональности в знаменателе дроби:

Ответы >>>

 

 

???????@Mail.ru