Главная >> Алгебра. 8 класс. Макарычев

§ 8. Квадратное уравнение и его корни

Неполные квадратные уравнения (продолжение)

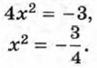
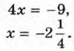
Пример 2. Решим уравнение 4х2 + 3 = 0.

Перенесём свободный член в правую часть уравнения и обе части получившегося уравнения разделим на 4:

Так как квадрат числа не может быть отрицательным числом, то получившееся уравнение не имеет корней. А следовательно, не имеет корней и равносильное ему уравнение 4х2 + 3=0.

Ответ: корней нет.

Вообще для решения неполного квадратного уравнения вида ах2 + с = 0 при с ≠ 0 переносят его свободный член в правую часть и делят обе части уравнения на а. Получают уравнение

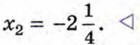
Пример 3. Решим уравнение 4х2 + 9х = 0.

Разложим левую часть уравнения на множители:

    х(4х + 9) = 0.

Отсюда

    х = 0 или 4х + 9 = 0.

Решим уравнение 4х + 9 = 0:

Ответ: х1 = 0,

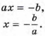
Вообще для решения неполного квадратного уравнения вида ах2 + bх - 0 при b ≠ 0 раскладывают его левую часть на множители и получают уравнение

    х (ах + b) = 0.

Произведение х (ах + b) равно нулю тогда и только тогда, когда хотя бы один из множителей равен нулю:

    х = 0 или ах + b = 0.

Решая уравнение ах + b = 0, в котором а ≠ 0, находим

Следовательно, произведение х(ах + b) обращается в нуль при х = 0 и при Корнями уравнения ах2 + bх = 0 являются числа 0 и

Значит, неполное квадратное уравнение вида ах2 + bх = 0 при b ≠ 0 всегда имеет два корня.

Неполное квадратное уравнение вида ах2 = 0 равносильно уравнению х2 = 0 и поэтому имеет единственный корень 0.

<<< К началу          Окончание >>>

 

 

???????@Mail.ru