Главная >> Алгебра. 8 класс. Макарычев

§ 8. Квадратное уравнение и его корни

Формула корней квадратного уравнения: Ответы

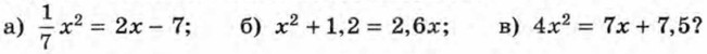
552. При каких значениях х верно равенство:

553. Существует ли такое значение а, при котором верно равенство (если существует, то найдите его):

    а) 3а + 0,6 = 9а2 + 0,36;
    б) 0,4а + 1,2 = 0,16а2 + 1,44?

554. (Задача-исследование.) Решите уравнения:

    а) x2 - 5x + 6 = 0 и 6x2 - 5x + 1 = 0;
    б) 2x2 - 13x + 6 = 0 и 6x2 - 13x + 2=0.

    1) Пусть одна группа учащихся выполнит задание а), а другая — задание б).
    2) Сравните результаты и выскажите предположение о соотношении между корнями уравнений ах2 + bх + с = 0 и сх2 + bх + а = 0.
    3) Докажите, что ваше предположение верно.

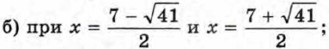
555. Существует ли такое значение а, при котором уравнение

    х2 - ах + а - 4=0:

    а) не имеет корней; б) имеет один корень; в) имеет два корня?

Упражнения для повторения

556. Найдите значение выражения:

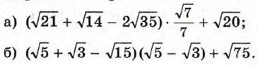
557. Упростите выражение:

558. Не выполняя построения, найдите координаты точки пересечения графиков линейных функций:

    а) у — 7х - 1 и у = 2х;
    б) у = 3х - 11 и у = 4;

    в) у = 5х + 8 и у = 3х + 2;
    г) у = 4- х и у = 3х.

Ответы

    534. б) 0,6; 1; г) 2; 2,5; д) 0,2; 1; ж) -2; 12; з) -10; 9.

    535. в) корней нет; д) -8; 19; е) корней нет.

    536. а) 0,2; 2; б) -6; 2,5;

    537. а) При х = 5 и x = 6; в) при x = 0 и x = 3; г) при x = -1 и х = 1.

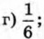
    538. а) При x = 2 и х = 9; б) при х = 0,5 и х = 2.

    539. б) 0,2; 3; в) -10; 8; г) -1; 23; д) 3,5; 5,5; з) 5-5√2; 5 + 5√2;

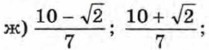
    540. г)-6; 14; д) -3 - 2√7; -3 + 2√7; е) -6; 0,8; ж) 17;

    541. в) -1; -0,8; д) корней нет; е) -11; 2; ж) 4; 8; з) 0,7; 0,9.

    542. а) -0,2; 2; б) -7; 2; 6 в) 3 - 3√2; 3 + 3√2; г) -4; 5; д) 16; 36;

    543. а) 1; 25; в) -8; 12; д) 20 - 10√5; 20+ 10√5; е) корней нет.

    544. а)-0,2; 1,7; в) 5 - √5; 5 + √5; г) -4; 0,5.

    545. а)-8; 3; д) -91; 87; е) -59; 53; ж) 0; 2; з) -2; 3.

    546. а) -1; 23; г) -5;-3.

    547. а) x1 ≈ -0,36, x2 ≈ 0,56; б) x1 ≈ -2,78, х2 ≈ -0,72; в) у1 ≈ -1,26, у2 ≈ 1,59; г) у1 ≈ -9,20, у2 ≈ 1,20.

    550. а) х1 ≈ 1,35, х2 ≈ 6,65; б) у1 ≈ 0,78, у2 ≈ 3,22.

    551. б) -7; 5; в) -0,2; 1,8; г) корней нет; д) 25; е) -9; 3.

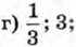
    552. а) 7; б) 0,6; 2;

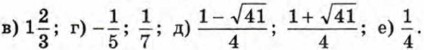
    555. а) Не существует; б) не существует; в) а — любое число

    556. 7,5.

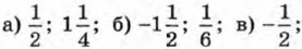
    557. а) √3 + √2; б) 2 + 3√5.

<<< К началу

 

 

???????@Mail.ru