Главная >> Алгебра. 8 класс. Макарычев

§ 8. Квадратное уравнение и его корни

Решение задач с помощью квадратных уравнений: Ответы

Упражнения для повторения

576. Сократите дробь:

577. Найдите значение выражения:

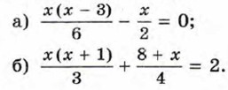
578. Решите уравнение:

579. Не выполняя построения, найдите координаты точек пересечения графика функции у = 13x - 2,6 с осью х и осью у.

Ответы

    560. 32 см.

    561. 140 м.

    563. 8 см, 15 см

    564. 11 и 12.

    565. 30 см.

    566. 5 см или 8 см.

    567. 15 см.

    568. 26 рядов

    569. 16 или 48 обезьян.

    570. 50 обезьян.

    571. В десятиугольнике.

    572. 9 команд.

    573. 10 участников.

    574. 10 см.

    575. 16, 17, 18 или -18, -17, -16

    576.

    577.1.

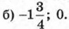
    578. а) 0; 6;

<<< К началу

 

 

???????@Mail.ru