Главная >> Алгебра. 8 класс. Макарычев

§ 2. Сумма и разность дробей

Сложение и вычитание дробей с одинаковыми знаменателями

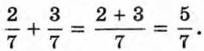
При сложении обыкновенных дробей с одинаковыми знаменателями складывают их числители, а знаменатель оставляют прежним. Например:

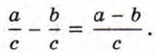
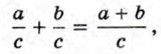
Таким же образом складывают любые рациональные дроби с одинаковыми знаменателями:

где а, b и с — многочлены, причём с — ненулевой многочлен.

Чтобы сложить рациональные дроби с одинаковыми знаменателями, надо сложить их числители, а знаменатель оставить тем же.

Вычитание рациональных дробей выполняется аналогично сложению:

Чтобы выполнить вычитание рациональных дробей с одинаковыми знаменателями, надо из числителя первой дроби вычесть числитель второй дроби, а знаменатель оставить тем же.

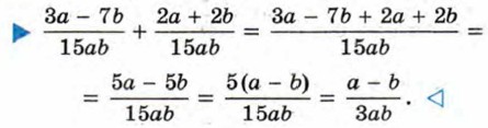
Пример 1. Сложим дроби

Пример 2. Вычтем из дроби дробь

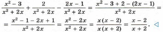
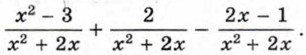
Пример 3. Упростим выражение

Здесь удобно сложение и вычитание дробей выполнять не последовательно, а совместно:

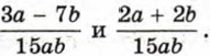
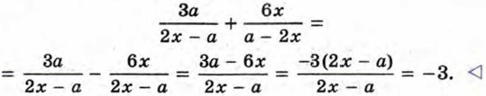
Пример 4. Сложим дроби

Знаменатели дробей являются противоположными выражениями. Изменим знаки в знаменателе второй дроби и перед этой дробью. Получим

Теперь можно применить правило вычитания дробей с одинаковыми знаменателями:

Продолжение >>>

 

 

???????@Mail.ru