Главная >> Алгебра. 8 класс. Макарычев

Дополнительные упражнения к главе IV

Дополнительные упражнения к § 10

915. Докажите неравенство:

    а) (6у - 1)(y + 2) < (3у + 4)(2у + 1);
    б) (3у - 1) (2у + 1) > (2у - 1) (2 + 3у).

916. Докажите неравенство:

    а) (х + 1)2 ≥ 4х;
    б) (36 + 1)2 > 6b;

    в) 4(х + 2) < (х + 3)2 - 2х;
    г) 1 + (m + 2)2 > 3(2m - 1).

917. Верно ли неравенство:

    a) √7+2√5 < 2 + √35;
    б) 4√б + 2 > 2√3 + 4√2?

918. Докажите неравенство:

    а) а2 + b2 + 2 ≥ 2(а + 6);
    б) а2 + b2 + с2 + 5 > 2 (а + b + с).

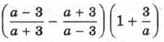
919. а) Докажите, что при а > 3 значение выражения

отрицательно.

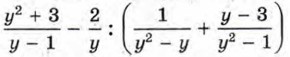
б) Докажите, что при у > 1 значение выражения

положительно.

920. В каком случае катер затратит больше времени: если он пройдёт 20 км по течению реки и 20 км против течения или если он пройдёт 40 км в стоячей воде?

921. (Задача-исследование.) Моторная лодка прошла в один день некоторое расстояние по течению реки и вернулась обратно. В другой день она прошла такое же расстояние по течению более быстрой реки и также вернулась обратно. В какой из дней лодка затратила на весь путь больше времени?

    1) Выскажите предположение об ожидаемом ответе.
    2) Введите обозначения: х км/ч — скорость лодки в стоячей воде; у км/ч и z км/ч — скорости течения первой и второй рек; s км — расстояние, на которое отплывала лодка.
    3) Запишите формулы для вычисления времени t1 ч и t2 ч, затраченного лодкой на весь путь в каждый из дней.
    4) Найдите разность t1 - t2 и, оценив её, ответьте на вопрос задачи.
    5) Подтвердилось ли ваше предположение?

Окончание >>>

 

 

???????@Mail.ru