Главная >> Алгебра. 8 класс. Макарычев

Дополнительные упражнения к главе IV

Дополнительные упражнения к § 11

933. Принадлежит ли промежутку [8; 41) число 40,9? Можно ли указать число, большее чем 40,9, принадлежащее этому промежутку?

Существует ли в промежутке [8; 41) наибольшее число? наименьшее число?

934. Принадлежит ли промежутку (7; 17] число 7,01? Можно ли указать число, меньшее чем 7,01, принадлежащее этому промежутку?

Существует ли в промежутке (7; 17] наименьшее число? наибольшее число?

935. Укажите, если это возможно, наименьшее и наибольшее числа, принадлежащие промежутку:

    а) [12; 37]; б) [8; 13); в) (11; 14); г) (3; 19].

936. Верно ли, что:

    а) (-5; 5) ∩ (-3; 2) = (-3; 2);
    б) (4; 11) ∪ (0; 6) = (4; 6);
    в) (-∞; 4) ∪ (1; +∞) = (-∞; +∞);
    г) (-∞; 2) ∩ (-2; +∞) = (-2; 2)?

937. Найдите пересечение и объединение:

    а) множества целых чисел и множества положительных чисел;
    б) множества простых чисел и множества нечётных натуральных чисел.

938. Является ли число √19 решением неравенства х √ 5? Укажите какое-нибудь число, большее √19, удовлетворяющее этому неравенству.

939. Является ли число √11 решением неравенства х > 3? Укажите какое-либо число, меньшее √11, удовлетворяющее этому неравенству.

940. Решите неравенство:

941. При каких значениях а верно неравенство:

942. Решите неравенство:

943. Найдите все натуральные числа, удовлетворяющие неравенству:

    а) 3(5 - 4х) + 2(14 + х) > 0; б) (х + 1)(х - 1) - (х2 - 3х) ≤ 14.

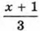
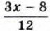
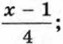
944. При каких значениях х:

    а) значение дроби больше соответствующего значения дроби
    б) значение дроби меньше соответствующего значения дроби

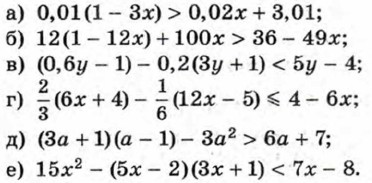
945. Решите неравенство:

    а) 2(4у - 1) - 5у < 3у + 5; б) 6(1 - у) - 8(3у + 1) + 30у > -5.

946. Найдите, при каких значениях а уравнение имеет положительный корень:

    а) 3х = 9а;
    б) х + 2 = а;

    в) х - 8 = 3а + 1;
    г) 2х - 3 = а + 4.

947. Найдите, при каких значениях 6 уравнение имеет отрицательный корень:

    а) 10х = 3b;
    б) х - 4 = b;

    в) 3x - 1 = b + 2;
    г) 3х - 3 = 5b - 2.

Продолжение >>>

 

 

???????@Mail.ru