Главная >> Алгебра. 8 класс. Макарычев

Дополнительные упражнения к главе IV

Дополнительные упражнения к § 11: Ответы

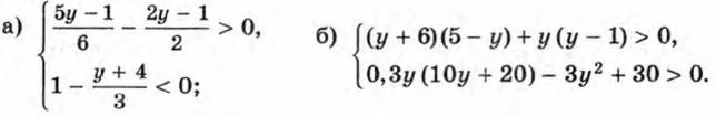
959. Найдите отрицательные значения у, удовлетворяющие системе неравенств:

960. При каких значениях а уравнение

    х2 - 4ах + 4а2 - 25 = 0

имеет два корня, каждый из которых больше 2?

961. При каких значениях b уравнение

    x2 - (2b - 2)х + b2 - 2b = 0

имеет два корня, принадлежащие интервалу (-5; 5)?

962. Если туристы будут проходить в день на 5 км больше, чем сейчас, то они пройдут за 6 дней расстояние, большее 90 км. Если же они будут проходить в день на 5 км меньше, то за 8 дней они пройдут расстояние, меньшее 90 км. Сколько километров в день проходят туристы?

963. Первую половину пути поезд прошёл со скоростью 60 км/ч, а затем увеличил скорость. Какой могла быть скорость поезда во второй половине пути, если известно, что его средняя скорость на всём участке не превышала 72 км/ч?

Ответы

    940. а) (-∞; -60); б) (4,8; +∞); в) (0,56; +∞); д) (-∞; -1);

    941. а) (-∞; —115); б) (0,2; +∞); в) (-∞; 15); г) (-∞; 1,4).

    942. а) (-∞; 0,325); б) (-1; +∞).

    943. а) 1, 2, 3, 4; б) 1, 2, 3, 4, 5.

    944. а) Таких значений нет; б) при любом значении х.

    945. а) (-∞; +∞); б) (-∞; +∞).

    946. а) При а > 0; б) при а > 2; в) при а > -3; г) при а > -7.

    947. а) При b < 0; б) при b < -4; в) при b < -3; г) при b < -0,2.

    948. а) При m ≥ 8; б) при m < 2; в) при m ≤ -6; г) при m < 3,5.

    950. а) Не более 5.

    951. Более 6 км/ч.

    952. Более 18 км/ч.

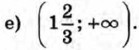
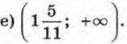
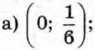
    954. б) (0,1; 5); в) решений нет; г) (0,8; +∞); д) (-∞; -0,2);

    955. а) 1, 2, 3, 4, 5, 6, 7, 8, 9; б) -10; в) 1; г) 2, 3, 4, 5.

    956. а) (-3; 6); б) (1,5; 2,5).

    957. а) При 1,5 < х < 4,5; б) при 5 ≤ х ≤ 15.

    958. б) положительных решений нет.

    959. а) (-1; 0); б) (-5; 0).

    960. a > 3,5.

    961. -3 < b < 5.

    962. Более 10 км, но менее

    963. Более 60 км/ч, но не более 90 км/ч.

<<< К началу

 

 

???????@Mail.ru