Главная >> Алгебра. 8 класс. Макарычев

§ 12. Степень с целым показателем и её свойства

Свойства степени с целым показателем (продолжение)

Упражнения

985. Найдите значение выражения:

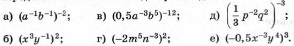
986. Вычислите:

987. Докажите, что степени любого отличного от нуля числа с противоположными показателями взаимно обратны.

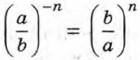
988. Докажите, что при любом целом n, а ≠ 0 и b ≠ 0.

989. Вычислите:

990. Представьте выражение в виде степени с основанием 3 и найдите его значение:

    а) 27 • 3-4; б) (3-1)5 • 812; в) 9-2 : 3-6; г) 813 : (9-2)-3.

991. Представьте выражение в виде степени с основанием 2 и найдите его значение:

    б) 32 • (2-4)2; в) 8-1 • 43; г) 45 • 16-2.

992. Представьте выражение, в котором m — целое число, в виде степени с основанием 5:

    а) 5m • 5m + 1 • 51- m; б) (5m)2 • (5-3)m; в) 625 : 54m - 2.

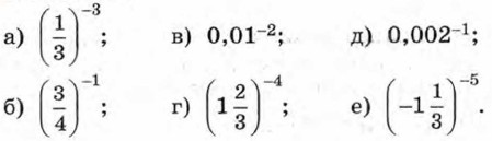
993. Вычислите:

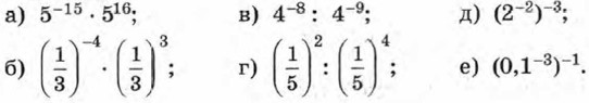
994. Найдите значение выражения:

995. (Для работы в парах.) Зная, что m — целое число, сократите дробь:

    1) Распределите, кто выполняет задание а), а кто — задание б), и выполните их.
    2) Проверьте друг у друга, правильно ли выполнены задания.
    3) Исправьте ошибки, если они допущены.

996. Представьте какими-либо тремя способами выражение x-10 в виде произведения степеней.

997. Представьте выражение а12, где а ≠ 0, в виде степени:

    а) с основанием а4; б) с основанием а-6.

998. Представьте в виде степени с основанием х частное:

    a) x10 : x12;
    б) x0 : x-5;
    в) хn - 1 : х-8, где n — целое число;
    г) х6 : хn + 2, где n — целое число.

999. Упростите выражение:

1000. Найдите значение выражения:

1001. Упростите выражение и найдите его значение:

1002. Представьте степень в виде произведения:

<<< К началу          Ответы >>>

 

 

???????@Mail.ru