Главная >> Алгебра. 8 класс. Макарычев

§ 12. Степень с целым показателем и её свойства

Стандартный вид числа (окончание)

1019. Представьте:

    а) 2,85 • 108 см в километрах;
    б) 4,6 • 10-2 м в миллиметрах;
    в) 6,75 • 1015 г в тоннах;
    г) 1,9 • 10-2 т в килограммах.

1020. Выполните умножение:

    а) (3,25 • 102)- (1,4 • 103);
    б) (4,4 • 10-3) • (5,2 • 104).

1021. Какой путь пройдёт свет за 2,8 • 106 с (скорость света равна 3 • 105 км/с)?

1022. (Для работы в парах.) а) Масса Земли 6,0 • 1024 кг, а масса Марса 6,4 • 1023 кг. Что больше: масса Земли или масса Марса — и во сколько раз? Результат округлите до десятых,
б) Масса Юпитера 1,90 • 1027 кг, а масса Венеры 4,87 • 1024 кг. Что меньше: масса Юпитера или масса Венеры — и во сколько раз? Результат округлите до единиц.

    1) Распределите, кто выполняет задание а), а кто — задание б), и выполните их.
    2) Проверьте друг у друга, правильно ли выполнены вычисления.
    3) Исправьте допущенные ошибки.
    4) Расположите указанные планеты в порядке возрастания их масс.

1023. Плотность железа 7,8 • 103 кг/м3. Найдите массу железной плиты, длина которой 1,2 м, ширина 6 • 10-1 м и толщина 2,5 • 10-1 м.

Упражнения для повторения

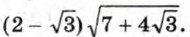
1024. Найдите значение выражения

1025. При каком значении m сумма корней уравнения 3х2 - 18х + m = 0 равна произведению этих корней?

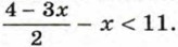
1026. Найдите целые отрицательные значения х, которые являются решением неравенства

1027. Замените а каким-либо натуральным числом так, чтобы система неравенств:

не имела решений.

Контрольные вопросы и задания

1. Сформулируйте определение степени с целым отрицательным показателем.

2. Сформулируйте свойства произведения и частного степеней с одинаковыми основаниями и целыми показателями.

3. Как возвести степень в степень?

4. Как возвести произведение и частное в степень?

5. Какую запись числа называют его стандартным видом?

6. Покажите на примере, как представить число в стандартном виде.

Ответы

    1020. а) 4,55 • 105; б) 2,288 • 102.

    1023. 1,404 • 103 кг.

    1024. 1.

    1025. При m = 18.

    1026. -3, -2, -1.

<<< К началу

 

 

???????@Mail.ru