Главная >> Алгебра. 8 класс. Макарычев

§ 2. Сумма и разность дробей

Сложение и вычитание дробей с разными знаменателями (окончание)

95. Упростите выражение и найдите его значение при х = —1,5:

96. Представьте в виде дроби:

97. Преобразуйте в дробь выражение:

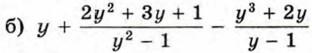
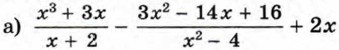
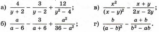
98. Упростите выражение:

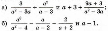
99. Докажите, что тождественно равны выражения:

100. (Для работы в парах.) Докажите, что при любых допустимых значениях переменной значение выражения:

    является положительным числом;

    является отрицательным числом.

    1) Распределите, кто выполняет задание а), а кто — задание б), и выполните их.
    2) Проверьте друг у друга, правильно ли выполнены преобразования.
    3) Обсудите, для чего в условии указано, что рассматриваются допустимые значения переменных. Укажите допустимые значения переменной в заданиях а) и б).

101. Учащимся была поставлена задача: «Представить дробь в виде суммы целого выражения и дроби». Были получены ответы:

Укажите неверный ответ.

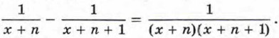
102. Докажите тождество

Используя это тождество, упростите выражение

103. Две речные пристани А и Б расположены на расстоянии s км друг от друга. Между ними курсирует катер, скорость которого в стоячей воде равна υ км/ч. Сколько времени t (ч) потребуется катеру на путь от А до Б и обратно, если скорость течения реки равна 5 км/ч? Найдите t при:

    а) s = 50, υ = 25;
    б) s = 105, υ = 40.

104. Туристы прошли s км по шоссе со скоростью υ км/ч и вдвое больший путь по просёлочной дороге. Сколько времени t (ч) затратили туристы, если известно, что по просёлочной дороге они шли со скоростью, на 2 км/ч меньшей, чем по шоссе? Найдите t при s = 10, υ = 6.

<<< К началу       Ответы >>>

 

 

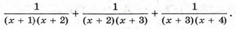
???????@Mail.ru