Главная >> Алгебра. 8 класс. Макарычев

Для тех, кто хочет знать больше

Дисперсия и среднее квадратичное отклонение

При анализе результатов наблюдений полезно иметь сведения о разбросе данных в ряду. Некоторое представление об этом даёт размах ряда, но он является слишком грубой оценкой. Поэтому известные вам статистические показатели дополняют ещё одним понятием, называемым дисперсией.

Разъясним смысл понятия дисперсия на примере.

Пусть имеется ряд данных

    7, 5, 10, 6, 5, 15.

Среднее арифметическое этого ряда равно:

Для каждого члена ряда найдём его отличие, или, как говорят, его отклонение от среднего арифметического:

    7 - 8 = -1; 5 - 8 = -3; 10 - 8 = 2; 6 - 8 = -2; 5 - 8 = -3; 15 - 8 = 7.

Нетрудно подсчитать, что сумма отклонений равна нулю:

    (-1) + (-3) + 2 + (-2) + (-3) + 7 = 0.

Вообще для любого ряда данных сумма отклонений от среднего арифметического равна нулю и потому не может характеризовать разброс данных в ряду.

Для того чтобы судить о разбросе данных в некотором ряду, поступают следующим образом: составляют ряд квадратов отклонений и вычисляют среднее арифметическое этого ряда, которое называют дисперсией заданного ряда данных.

Дисперсией ряда чисел называется среднее арифметическое квадратов их отклонений от среднего арифметического этого ряда.

Дисперсия является мерой разброса чисел в ряду.

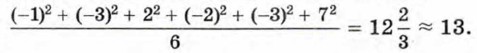
В приведённом примере дисперсия ряда равна:

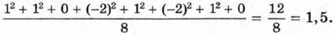
Рассмотрим такой пример. При подготовке к соревнованиям по стрельбе из пистолета спортсмены Петров и Смирнов произвели по 8 серий выстрелов. Подсчитывая для каждой серии, состоящей из 10 выстрелов, число попаданий в цель, получили такие данные:

    Петров: 10, 10, 9, 7, 10, 7, 10, 9;
    Смирнов: 10, 9, 10, 9, 10, 8, 8, 8.

Для каждого ряда данных найдём среднее арифметическое:

Вычислим дисперсию для каждого ряда данных.

Для ряда результатов, показанных Петровым, имеем

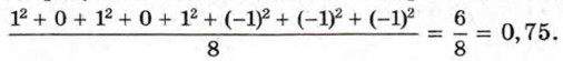
Для ряда результатов, показанных Смирновым, имеем

Мы видим, что, хотя среднее арифметическое числа попаданий в обоих случаях одинаково, разброс данных во втором ряду меньше. Следовательно, Смирнов показал на тренировке более стабильный результат.

Одна из особенностей дисперсии состоит в следующем: если в ряду, содержащем большое число данных, есть лишь несколько данных, значительно отличающихся от среднего арифметического этого ряда, то дисперсия такого ряда обычно бывает невелика.

Окончание >>>

 

 

???????@Mail.ru