Главная >> Алгебра. 8 класс. Макарычев

Дополнительные упражнения к главе V

Дополнительные упражнения к § 12

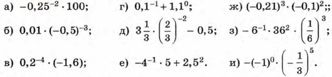
1079. Вычислите:

1080. Преобразуйте выражение так, чтобы оно не содержало степеней с отрицательными показателями:

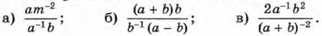
1081. Представьте в виде дроби выражение:

1082. Упростите выражение:

1083. Представьте выражение в виде степени с основанием 10 (n — целое число):

    а) 100n; б) 0,1 • 100n + 3; в) 0,01n • 102 - 2n.

1084. Упростите выражение (n — целое число):

1085. Докажите, что значение выражения (m — целое число) не зависит от m:

1086. Представьте выражение х-2 + x-1 + x в виде произведения двух множителей, один из которых равен:

    а) х; б) x-1; в) x-2.

1087. В выражении а-6 + а-4 вынесите за скобки множитель:

    а) а-4; б) а-6.

1088. Упростите выражение:

1089. Докажите, что при любом целом л верно равенство:

    а) 2n + 2n = 2n + 1; б) 2 • 3n + 3n = 3n + 1.

1090. Сократите дробь (n — целое число):

1091. Докажите, что выражение принимает одно и то же значение при любых целых значениях переменных:

Окончание >>>

 

 

???????@Mail.ru