Главная >> Алгебра. 8 класс. Макарычев

Алгебра. 8 класс

Задачи повышенной трудности

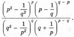
1106. Сократите дробь:

1107. Решите систему уравнений:

1108. Докажите, что уравнение x4 - 5х3 - 4x2 - 7х + 4 = 0 не имеет отрицательных корней.

1109. Найдите обыкновенную дробь со знаменателем 21, заключённую между дробями

1110. Какой цифрой оканчивается сумма 5435 + 2821?

1111. Решите уравнение х2 - 2х + у2 - 4у + 5 = 0.

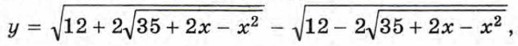
1112. Найдите корни уравнения

1113. Найдите все двузначные числа где b > а, при которых значение дроби равно целому числу.

1114. Найдите три различные обыкновенные дроби вида сумма которых равна натуральному числу.

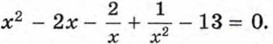
1115. Найдите целые значения х, при которых функция

принимает целые значения.

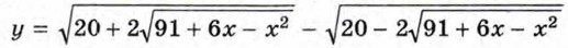
1116. Найдите все целые значения функции

которые она принимает при целых х.

1117. Представьте многочлен х8 + х4 + 1 в виде произведения четырёх многочленов ненулевой степени.

1118. Упростите выражение Укажите допустимые значения переменных.

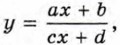
1119. Функция у от х задана формулой где ad - bc ≠ 0. Пусть значениям аргумента х1, х2, х3 и х4 соответствуют значения функции у1, у2, y3 и у4. Докажите, что

1120. Найдите все пары натуральных чисел, удовлетворяющие уравнению х2 - у2 = 69.

1121. Докажите, что сумма, разность, произведение и частное чисел вида а + b√2, где а и b — рациональные числа, могут быть представлены в таком же виде.

1122. Пара чисел х = 3, у = 2 является решением уравнения (х + у√2)(х - у√2) = 1. Покажите, что существует бесконечно много других пар натуральных чисел, удовлетворяющих этому уравнению.

1123. При каком значении m сумма квадратов корней уравнения х2 + х + m = 0 равна 13?

1124. Решите уравнение (х2 - а2)2 = 4ах + 1 относительно х.

1125. Найдите наименьшее значение выражения

    (а - 1) (а - 2) (а - 5) (а - 6) + 9.

1126. Сумма квадратов корней уравнения х2 + рх + 1 = 0 равна 254. Найдите коэффициент р.

Продолжение >>>

 

 

???????@Mail.ru