Главная >> Алгебра. 8 класс. Макарычев

§ 3. Произведение и частное дробей

Деление дробей

При делении обыкновенных дробей первую дробь умножают на дробь, обратную второй. Например:

Так же поступают при делении любых рациональных дробей:

где а, b, с и d — некоторые многочлены, причём b, с и d — ненулевые многочлены.

Это равенство выражает правило деления рациональных дробей:

чтобы разделить одну дробь на другую, нужно первую дробь умножить на дробь, обратную второй.

Пример 1. Разделим дробь на дробь

Воспользуемся правилом деления дробей:

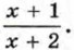
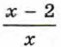
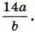
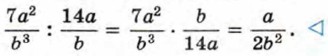
Пример 2. Разделим дробь на дробь

Имеем

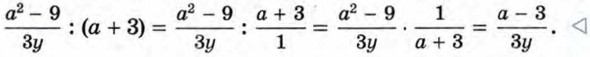
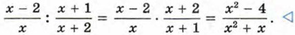
Пример 3. Разделим дробь на многочлен а + 3.

При делении дроби на многочлен этот многочлен записывают в виде дроби и затем применяют правило деления дробей:

Упражнения

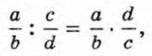
132. Выполните деление:

133. Упростите выражение:

Продолжение >>>

 

 

???????@Mail.ru