Главная >> Алгебра 9 класс. Макарычев

§ 1. Функции и их свойства

Функция. Область определения и область значений функции

Функция — одно из важнейших математических понятий. Напомним, что

функцией называют такую зависимость переменной у от переменной х, при которой каждому значению переменной х соответствует единственное значение переменной у.

Переменную х называют независимой переменной или аргументом. Переменную у называют зависимой переменной. Говорят также, что переменная у является функцией от переменной х. Значения зависимой переменной называют значениями функции.

Если зависимость переменной у от переменной х является функцией, то коротко это записывают так: у = ƒ(x) (читают: «у равно ƒ от х»). Символом ƒ(x) обозначают также значение функции, соответствующее значению аргумента, равному х.

Пусть, например, функция задана формулой у = 2х2 - 6. Тогда можно записать, что ƒ(x) = 2х2 - 6. Найдем значения функции ƒ для значений х, равных 2,5 и -3:

    ƒ(2,5) = 2 • 2,52 - 6 = 6,5; ƒ(-3) = 2 • (-3)2 - 6 = 12.

Заметим, что в записи вида у = ƒ(x) вместо ƒ употребляют и другие буквы: g, φ и т. п.

Все значения независимой переменной образуют область определения функции. Все значения, которые принимает зависимая переменная, образуют область значений функции.

Функция у = ƒ(x) считается заданной, если указана область определения функции и правило, согласно которому каждому значению независимой переменной поставлено в соответствие единственное значение зависимой переменной.

Если функция у = ƒ(x) задана формулой и ее область определения не указана, то считают, что область определения функции состоит из всех значений переменной х, при которых выражение ƒ(x) имеет смысл. Например, областью определения функции ƒ(x) = 5х + х2 является множество всех чисел; областью определения функции служит множество всех чисел, кроме -3.

Область определения функции, описывающей реальный процесс, зависит от конкретных условий его протекания. Например, зависимость длины l железного стержня от температуры нагревания t выражается формулой l = l0( 1 + αt), где l0 — начальная длина стержня, а a — коэффициент линейного расширения. Указанная формула имеет смысл при любых значениях t. Однако областью определения функции l = ƒ(t) является промежуток в несколько десятков градусов, для которого справедлив закон линейного расширения.

Напомним, что графиком функции называется множество всех точек координатной плоскости, абсциссы, которых равны значениям аргумента, а ординаты — соответствующим значениям функции.

график функции у = ƒ(x)

На рисунке 1 изображен график функции у = ƒ(x), областью определения которой является отрезок [-3; 7]. С помощью графика можно найти, например, что ƒ(-3) = -2, ƒ(0) = 2,5, ƒ(2) = 4, ƒ(5) = 2. Наименьшее значение функции равно -2, а наибольшее равно 4, при этом любое число от —2 до 4 является значением данной функции. Таким образом, областью значений функции у = ƒ(x) служит отрезок [-2; 4].

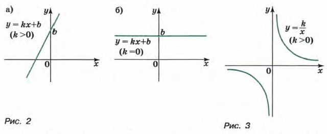
Мы ранее изучали некоторые важные виды функций: линейную функцию, т. е. функцию, задаваемую формулой у = kx + b, где k и b — некоторые числа; прямую пропорциональность — частный случай линейной функции, она задается формулой у = kx, где k ≠ 0; обратную пропорциональность — функцию

Графиком функции у = kx + b служит прямая (рис. 2). Областью определения этой функции является множество всех чисел. Область значений этой функции при k ≠ 0 есть множество всех чисел, а при k = 0 ее область значений состоит из одного числа b.

График функции называется гиперболой. На рисунке 3 изображен график функции для k > 0. Область определения этой функции есть множество всех чисел, кроме нуля. Это же множество является и областью ее значений.

Функциями такого вида описываются многие реальные процессы и закономерности. Например, прямой пропорциональностью является зависимость массы тела m от его объема V при постоянной плотности ρ (m = ρV), зависимость длины окружности С от ее радиуса R (С = 2πR). Обратной пропорциональностью является зависимость силы тока I на участке цепи от сопротивления проводника R при постоянном напряжении зависимость времени t, которое затрачивает равномерно движущееся тело на прохождение заданного пути s, от скорости движения

Мы изучали также функции, заданные формулами у = х2, у = х3, у = √х . Их графики изображены на рисунке 4.

Рассмотрим еще одну функцию, а именно функцию, заданную формулой у = |х|.

Так как выражение |х| имеет смысл при любом х, то областью определения этой функции является множество всех чисел. По определению |х| = х, если х ≥ 0, и |х| = -х, если х < 0. Поэтому функцию у = |х| можно задать следующим образом:

График рассматриваемой функции в промежутке [0; +∞) совпадает с графиком функции у = х, а в промежутке (—∞; 0) — с графиком функции у = -х. График функции у = |х| изображен на рисунке 5. Он состоит из двух лучей, исходящих из начала координат и являющихся биссектрисами I и II координатных углов.

Упражнения >>>

 

[an error occurred while processing this directive]

 

???????@Mail.ru