Главная >> Алгебра 9 класс. Макарычев

Дополнительные упражнения к главе II

К параграфу 5 (ответы)

368. Решите уравнение

369. Найдите корни уравнения:

370. Решите уравнение, обозначив одно из слагаемых через t, а другое через

371. Решите уравнение, используя подстановку у = х2:

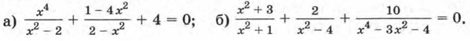
372. Решите уравнение:

373. Решите уравнение, используя введение новой переменной:

374. При каких значениях а сумма чисел а и в раза меньше суммы их кубов?

375. Решите уравнение:

Ответы

    352. а) 0; -1; 1; б) 0; -2; 2; в) 0; -8; 8; г) 0; -2√5; 2√5.

    353. а) 0; -5; 5; б) 0; -√б; √б.

    354. а) 1; 2; б)-1; 1; в)-2; 0,8; 5; г)-1; 6.

    355. а)-1. Указание. Представьте 2х2 в виде х2 + х2;

    358. а) -3 - √б; -3 + √б; -3 - √17; -3 + √17; б) -2; 4; 1 - √5; 1 + √5; в) корней нет; г) -4; 0; д) -1 - √2; -1 + √2; е) -4; 5; ж) -4,5; 1;

    359. а) 1; б) -1; -√3; √3.

    360. б) -1; 2.

    364. а)-3; 3; б)-1; 1.

    365. -5,6; 4.

    366. а) -7; 15; б) 5.

    367. а) 3; 10; б) 4.

    368. 4.

    369. а) -1; б) -1;

    370. а) 1; б) 2;

    371. а) -1; 1; б) 0

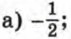
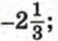
    372. а) 1,4; 3; б) 3; 9.

    373. а) 1; б) 3.

    374. 2;

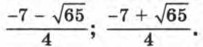
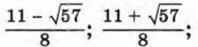
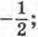
    375. а) -2,5 - √5,25; -2,5 + √5,25; 2,5 - √5,25; 2,5 + √5,25; б) -2 - √5; -2 + √5; 2 - √5; 2 + √5; -1; 1.

<<< К началу

 

 

???????@Mail.ru