Главная >> Алгебра 9 класс. Макарычев

Дополнительные упражнения

К параграфу 6 (ответы)

390. Решите неравенство:

    а) (х2 + 17)(х - 6)(х + 2) < 0;
    б) (2х2 + 1)х(х - 4) > 0;

    в) (х - 1)2(х - 24) < 0;
    г) (х + 7)(х - 4)2(х - 21) > 0.

391. Найдите область определения функции:

392. Равносильны ли неравенства:

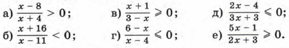
393. Решите неравенство:

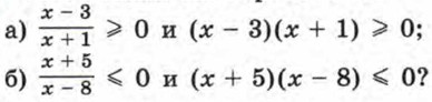
394. Решите неравенство:

Ответы

    376. б) [-9; 1]; г) (-∞; -1,75] ∪ [1,5; +∞); д) х — любое число;

    378. а) (-4; 4); б) х ≠ -2.

    379. При -4 < а < -2 и -2 < а < 6.

    380. При b < 2 - √10 и b > 2 + √10.

    381. а) При с > 36; б) при с > -20.

    382. а) При 0 < k < 42,25; б) при k = 42,25 и k < 0

    383. [-3; 1].

    384. а) (7; +∞); б) в) (-∞; -3); г) (4; 5).

    385. а) (-1; 2); б) (1; 4).

    386. а) (-∞; -1,2) ∪ (4; 6); 6) в) (-∞; -1,6) ∪ (-0,6; 1,2); г) (-∞; -1,8) U (1,7; 1,9).

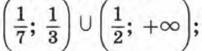
    387. а) -4; 2; б) в)

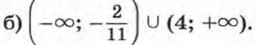
    388. а) (-∞; 2) ∪ (7; +∞); б) (7,3; 9,8); в) (-0,8; 4) ∪ (20; +∞); г) (-∞; -0,3] ∪ [5; 17].

    389. а) (-17; -4) ∪ (4; +∞); б) в) (-∞; -5) ∪ (0; 5); г) (-0,1; 0) ∪ (0,1; +∞); д) (-∞; -3) ∪ (-1; 1) U (3; +∞); е) (-6; 0) ∪ (6; 15).

    390. а) (-2; 6); б) (-∞; 0) ∪ (4; +∞); в) (-∞; 1) ∪ (1; 24); г) (-∞; -7) ∪ (21; +∞).

    391.

    392. а) Нет; б) нет.

    393. а) (-∞; -4) ∪ (8; +∞); б) (-16; 11); в) [-1; 3); г) (-∞; 4) ∪ [6; +∞); д) (-1; 2]; е) (-∞; -1,5) ∪ [0,2; +∞).

    394. а) (-4; 18); б) (-∞; -2) ∪ (0; +∞); г) [-12,4; -8).

<<< К началу

 

 

???????@Mail.ru