Главная >> Алгебра 9 класс. Макарычев

Для тех, кто хочет знать больше

Приемы решения целых уравнений

Мы уже отмечали, что формулы корней целых уравнений третьей и четвертой степеней с одной переменной громоздки и неудобны для практического использования, а для уравнений пятой и более высоких степеней формул корней вообще не существует. Такие уравнения удается иногда решить, используя специальные приемы.

ТЕОРЕМА 1

о корне многочлена

Если число а является корнем многочлена

    Р(х) = а0хn + a1xn-1 + ... + аn-1х + аn, где а0 ≠ 0,

то этот многочлен можно представить в виде произведения (х - а) Р1(х), где Р1(х) — многочлен n - 1-й степени.

ТЕОРЕМА 2

о целых корнях целого уравнения

Если уравнение

    а0хn + а1хn - 1 + ... + аn - 1х + аn = 0,

в котором все коэффициенты — целые числа, причем свободный член отличен от нуля, имеет целый корень, то этот корень является делителем свободного члена.

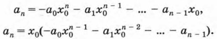
Пусть х0 — целый корень данного уравнения. Тогда верно равенство

Отсюда

Число, записанное в этом равенстве в скобках, является целым, так как х0 и все коэффициенты -а0, -а1, ..., -аn - 1 — целые числа. Значит, при делении аn на х0 получается целое число, т. е. х0 — делитель свободного члена.

Приведем примеры решения целых уравнений с использованием указанных теорем.

Один из приемов решения уравнения вида Р(х) = 0, где Р(х) — многочлен третьей или более высокой степени, состоит, как известно, в разложении многочлена Р(х) на множители.

Пример 1. Решим уравнение

    х3 - 8х2 + 13х - 2 = 0.

Если это уравнение имеет целый корень, то в силу теоремы 2 он является делителем числа -2, т. е. равен одному из чисел 1, -1, 2, -2. Проверка убеждает нас, что корнем уравнения является число 2. Значит, в силу теоремы 1 многочлен х3 - 8х2 + 13х - 2 можно представить в виде (х - 2) F(x), где F(х) — многочлен второй степени.

Для того чтобы найти многочлен Р(х), разделим многочлен х3 - 8х2 + 13х - 2 на двучлен х - 2. Деление многочленов выполним «уголком»:

Значит, исходное уравнение можно представить в виде

    (х - 2) (х2 — 6х + 1) = 0.

Отсюда

    х - 2 = 0 или х2 - 6х + 1 = 0.

Первое уравнение имеет единственный корень — число 2. Второе уравнение имеет два корня: 3 - √8 и 3 + √8.

Исходное уравнение имеет три корня: 2, 3 - √8, 3 + √8.

Еще один прием, который используется при решении целых уравнений третьей и более высоких степеней, состоит, как вы знаете, во введении новой переменной.

Продолжение >>>

 

 

???????@Mail.ru