Главная >> Алгебра 9 класс. Макарычев

§ 7. Уравнения с двумя переменными и их системы

Решение систем уравнений второй степени (ответы)

Ответы

    429. а) (5; 2), (2; -1); б) (-4; -5), (6; 5); в) (1; -5), (4; -2); г) (4; 5), (13; -4).

    430. а) (10; -7), (-3; 6); б) (-1; 0), (-2; -1); в) (-3; 5), (2; 10); г) (2; 2), (1; 3).

    431. а) (2; -1), (1; -2); б) (1,5; 1), (1; 1,5); в) (-1; 0), (0; -1); г)

    432. а) (10; -2), (-2; 10); б) (2; 1,2), (-1,2; -2); в) (3; -1); г) (-1; -2), (-2; -1).

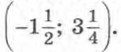
    433. а) (1; 4); б) в) (-32; -18), (-10; 4); г) (-1; 2), д) (8; 6), (-8; -6); е) (4; 0), (12; 16).

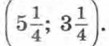
    434. а) (-3; -1), (5,5; 0,7); б) (3; -5), (5,5; 5); в) (-6; -9), (3; 4,5); г) (1,5; -2,5), (2,5; -1,5); д) (0; 2,5), (-2; 1,5); е) (-3; -1),

    435. б) u1 = -3,5, υ1 = 2,5; u2 = 3,5, υ2 = -2,5.

    436. a) x1 = -5, у1 = 4; б) р1 = 6, t1 = 2; р2 = -5,

    437. а) (-14; -13), (12; 13); б) (-2; -13), (4; -7).

    438. а) (-2; -3), (2; 3); б) (2; 1), (2; 5), (3; 1), (3; 5).

    439. (-2; 0), (4; 6).

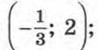
    440. а) (0; -4), (4; 0); б) (1; 2),

    441. а) (-3; -2), (3; 1); б) (3; -5), (5; -8).

    442. а) х1 = -2, у1 = 1; х2 = 2, у2 = -1; б) u1 = -2, υ1 = 3; u2 = -3, υ2 = 3,5.

    443. а) (15; 10), (2; -3); б) (12; -6), (2; 4); в) г) (6; 2).

    444. а) (6; 4); б) (-2; 0), (1,8; 11,4).

    445. (3; -1).

    447. а) (-7б; √б), (√б; - √б); б) (-5; -4), (5; 4).

    448. а) (-4; -1), (-4; 1), (4; -1), (4; 1); б) (-6; -5), (-6; 5), (6; -5), (6; 5); в) (-7; -9), (8; 6).

    449. а) (0; 6); б) (-4; 0).

    450. При 5 = 2 и при k = -2.

    451. (5,4; 10,8).

    453.

    454. а) (-14; 12); б) в) (-∞; -14) ∪ (1,5; +∞); г) (-25; 1,2).

<<< К началу

 

 

???????@Mail.ru