Главная >> Алгебра 9 класс. Макарычев

§ 1. Функции и их свойства

Свойства функций. Ответы

44. Какие из линейных функций у = 8х - 5, у = -3х + 11, у = -49х - 100, у = х + 1, у = 1 — х являются: а) возрастающими; б) убывающими?

45. При каких значениях а функция у = (а - 2)х + 3:

    а) является возрастающей;
    б) является убывающей;
    в) не является ни возрастающей, ни убывающей?

46. Постройте график функции и перечислите ее свойства:

    а) у = 1,5х - 3;   б) у = -0,6х + 5.

47. Постройте график функции: а) у = 1,6х; б) у = -0,4х. Перечислите свойства функции у = kx при к > 0 и при k < 0.

48. Функция задана формулой ƒ(x) = 13х - 78. При каких значениях х: a) ƒ(x) = 0; б) ƒ(x) > 0; в) ƒ(x) < 0? Является ли функция возрастающей или убывающей?

49. Используя рисунки 4 и 5, перечислите свойства функций

    у = х2, у = х3, у = √х и у = |х|.

50. Постройте график функции и перечислите ее свойства:

51. Является ли возрастающей или убывающей функция:

    а) у = 5х + √х;   б) у = -х + √-х;   в) у = х2 + √х

Повторение

52. Решите уравнение:

    а) 0,6x2 - 3,6x = 0;
    б) x2 - 5 = 0;
    в) 2x2 + 17x = 0;
    г) 0,5x2 + 9 = 0.

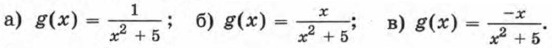
53. Сравните g(2) и g(-2), если:

54. Разложите на множители многочлен:

    а) 4х - х3;   б) а4 - 169а2;   в) с3 - 8с2 + 16с.

Контрольные вопросы

    1. Дайте определение функции. Что называется областью определения и областью значений функции?

    2. Что называется графиком функции? Что представляет собой график линейной функции? прямой пропорциональности? обратной пропорциональности?

    3. Используя рисунок 19, поясните, как с помощью графика функции найти нули функции и промежутки, в которых функция сохраняет знак (принимает положительные значения; отрицательные значения).

    4. Дайте определение функции, возрастающей в промежутке; убывающей в промежутке. Назовите промежутки возрастания и убывания функции, график которой изображен на рисунке 19.

    5. Приведите примеры возрастающей и убывающей линейной функции. Сформулируйте и докажите соответствующее свойство линейной функции.

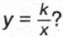
    6. Как изменяется в каждом из промежутков (-∞; 0) и (0; +∞) функция Рассмотрите случаи к > 0 и к < 0.

Ответы

    40. а) 15;   б) -6 и   в) -2;   г) нулей нет.

    41. а) Имеет,   б) имеет, х = 0 и х = 2;   в) имеет, х = 6.

    42. а) [-6; -5) ∪ (-5; +∞), у = 0 при х = 3; б) (-∞; 1) ∪ у = 0 при и х = 0.

    45. а) При а > 2;   б) при а < 2;   в) при а = 2.

    51. а) Возрастающая; б) убывающая; в) возрастающая.

    52. а) 0; 6;   б) ±√5;   в) 0; -8,5;   г) корней нет.

<<< К началу

 

 

???????@Mail.ru