Главная >> Алгебра 9 класс. Макарычев

§ 8. Неравенства с двумя переменными и их системы

Неравенства с двумя переменными (ответы)

485. Изобразите на координатной плоскости множество точек, за- — даваемое неравенством ах + by > с, если:

    а) а = 0, b = 1, с = 3; б) а = 1, b = 0, с = 3.

486. Изобразите на координатной плоскости множество точек, задаваемое неравенством:

    а) х ≥ 3; б) у ≤ -1; в) 1 ≤ х ≤ 4; г) -3 < у < 3.

487. Изобразите на координатной плоскости множество решений неравенства:

    а) у ≤ х2 - 4;
    б) y ≥ (x-2)2 - 1;

    в) х2 + у2 ≤25;
    г) (x - 1)2 + (у - 2)2 ≤ 4.

488. Изобразите на координатной плоскости множество решений неравенства:

    а) ху > 12; б) xу < 4.

489. Какое множество точек задается неравенством:

    а) х2 + у2 - бx - 4у + 13 ≤ 0; б) х2 - 4х - у + 5 ≥ 0?

490. Задайте неравенством с двумя переменными:

    а) круг с центром в точке (2; 0) и радиусом, равным 3;
    б) множество точек, расположенных вне круга с центром в точке (0; 4) и радиусом, равным 2.

491. Опишите неравенством множество точек координатной плоскости, расположенных:

    а) выше параболы у = х2 - 9;
    б) ниже параболы у = (х + 2)2.

492. Изобразите на координатной плоскости множество решений неравенства:

    а) ху ≥ 0; б) ху < 0.

Упражнения для повторения

493. Постройте график уравнения:

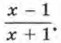
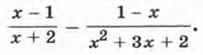
494. Представьте в виде рациональной дроби:

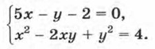
495. Решите систему уравнений

Ответы

489. а) Точка (3; 2); б) множество точек, принадлежащих параболе у = (х - 2)2 + 1, и точек, расположенных ниже ее.

490. а) (х - 2)2 + у2 ≤ 9; б) х2 + (у - 4)2 > 4.

492. а) Множеством решений является объединение первой и третьей четвертей координатной плоскости, включая оси координат; б) множеством решений является объединение второй и четвертой четвертей координатной плоскости, кроме осей координат.

494.

495. (1; 3), (0; -2).

<<< К началу

 

 

???????@Mail.ru